 |
|
| Seite überarbeitet November 2023 |
 |
Kontakt |
 |
|
 |
Programmübersicht |
 |
|
 |
Bestelltext |
 |
|
|
|
|
|
| Handbuch |
 |
|
|
|
|
| Infos auf dieser Seite |
... als pdf |
 |
|
 |
|
| Systembeschreibung |
 |
 |
globale Einstellungen ............. |
 |
|
 |
Lager und Gelenke ................ |
 |
|
 |
Objekte bearbeiten ................ |
 |
|
 |
Stabeigenschaften ................. |
 |
|
 |
Objekte auswählen ................ |
 |
|
 |
Monitordarstellung ................. |
 |
|
|
|
 |
Ausgabeliste ......................... |
 |
|
|
| Belastung |
 |
 |
Begriffsdefinition .................... |
 |
|
 |
Linienbelastung ...................... |
 |
|
 |
Punktbelastung ..................... |
 |
|
|
|
| Berechnung |
 |
 |
Berechnungsverfahren ............ |
 |
|
 |
Nachweise, allgemein ............. |
 |
|
 |
Nachweise, spez. DIN ............ |
 |
|
|
|
 |
Nachweise, spez. EC ............. |
 |
|
|
| Verbindungsmittel |
 |
 |
Ringdübel .............................. |
 |
|
 |
Stabdübel .............................. |
 |
|
 |
SPAX / ASSY ....................... |
 |
|
 |
Scheibendübel ....................... |
 |
|
 |
Schrauben ............................ |
 |
|
 |
Nägel / stiftförmige Verb. ........ |
 |
|
|
|
 |
Ausziehwiderstand ................. |
 |
|
|
|
|
 |
|
|
 |
|
 |
|
Für den Träger müssen die
Berechnungsnorm, der Querschnittstyp sowie die Geometrie-
und Materialdaten
eingegeben werden. |
| Diese Daten gelten global für den gesamten
Träger. |
Neben der Vorgabe der Norm und der Trägerparameter
werden in diesem Fenster die Einstellungen für die
zu
führenden Nachweise vorgenommen. |
| Das Fenster enthält drei Register,
in denen die entsprechenden Parameter gesetzt werden. |
|
 |
|
|
| Register 1 - Norm / Globale Werte |
|
 |
|
| Über die Optionsknöpfe wird festgelegt,
ob Berechnung und Bemessung nach Eurocode oder DIN 1052:2008
erfolgen. |
| Über das Flaggensymbol wird zusätzlich
das nationale Anwendungsdokument bestimmt. Zum Lieferumfang
gehört das deutsche NAD; weitere Anwendungsdokumente
können benutzerseits eingerichtet werden. |
|
|
|
|
| Gemäß /16/, 2.3.1.3, müssen
Holzbauwerke wegen der physikalischen Eigenschaften der
Holzbaustoffe bestimmten Nutzungsklassen, die die klimatischen
Verhältnisse der Umgebung des Bauwerks während
der Nutzungsdauer wiedergeben, zugewiesen werden. |
| Die Definition der Nutzungsklassen findet
sich in /16/, 2.4.1(1). |
|
|
|
| Eurocode |
 |
| Im Programm gelten die |
 |
Materialsicherheitsbeiwerte
gemäß /16/, 2.4.1(1) |
 |
kmod-Werte gemäß /16/,
3.1.3, und Verformungsbeiwert kdef gemäß /16/, 3.1.4 |
 |
empfohlenen Grenzwerte für Verformungen
gemäß /16/, 7.2 |
|
|
|
| Bei zusammengesetzten Querschnitten mit unterschiedlichen
Materialien wird die Verteilung der
Schnittgrößen durch die Steifigkeitsverhältnisse
im Tragwerk beeinflusst. |
| Gemäß /16/, 2.3.2.2(2), ist dies bei der Berechnung
der Steifigkeitsparameter im Endzustand zu berücksichtigen. |
| In die Gleichungen (2.10), (2.11) und (2.12), geht daher der Beiwert
für den quasi-ständigen Anteil der Einwirkung, die die größte
Spannung im Verhältnis zur Festigkeit hervorruft, ein (wenn diese Einwirkung
eine ständige Einwirkung ist, sollte ψ2 durch 1 ersetzt werden). |
|
|
|
|
|
|
|
| DIN 1052:2008 |
 |
| Optional können durch Entfernen des Häkchens
die Werte für die Materialsicherheitsbeiwerte verändert werden. |
|
 |
|
|
| Durch Entfernen des
Häkchens können die Modifikationsbeiwerte verändert werden. |
|
 |
|
|
| Gleiches gilt für
die empfohlenen Grenzwerte für Verformungen. |
|
 |
|
|
|
|
|
| Die Temperaturausdehnungskoeffizienten
für Holz und Stahl (hier nicht relevant) sind
mit sinnvollen Werten vorbelegt, können aber
bei Bedarf vom Nutzer verändert werden. |
|
 |
|
|
|
|
|
| Register 2 - Trägertyp / Maße |
 |
|
| In der Auswahlleiste in der oberen Fensterhälfte
wird der Querschnittstyp gewählt. |
| Folgende Typen stehen zur Auswahl |
|
 |
Rechteck |
 |
Rechteck mit Aufdoppelung |
 |
3-fach Rechteck |
 |
T-Querschnitt |
 |
T-Querschnitt mit durchgehendem Steg |
 |
I-Querschnitt |
 |
I-Querschnitt mit durchgehendem Steg |
 |
O-Querschnitt |
 |
O-Querschnitt mit durchgehendem Steg |
|
|
 |
|
Entsprechend dem gewählten Querschnittstyp
werden in der darunter abgebildeten Querschnittsskizze
die
Maße der Teilquerschnitte in mm eingegeben. |
| Bei den Gurtquerschnitten kann eine mitwirkende
Breite bef gemäß /1/, 8.6.2, eingegeben
werden. |
|
|
|
|
| Register 3 - Material / Nachweise |
|
 |
|
| Die im dritten Register angebotenen Einstellungen
variieren geringfügig entsprechend der im R. 1 gewählten
Norm. |
|
|
|
| Materialkennwerte |
 |
| In den Listboxen werden Holzart und -güte
für jeden Teilquerschnitt gewählt. Zur Auswahl
stehen |
|
 |
Nadelholz |
 |
Laubholz |
 |
Brettschichtholz |
 |
OSB |
 |
Gipskarton |
 |
Sperrholz |
 |
Spanplatte |
 |
Faserplatte |
|
|
| Die Materialkennwerte werden daraufhin automatisch
gewählt. |
| Durch Deaktivieren des Optionsschalters
können die Werte verändert werden. |
|
|
|
|
|
|
| Einwirkungen und Nachweise |
 |
| Der Einwirkungsbutton öffnet das Fenster
zur Verwaltung der Einwirkungen und Lastfälle. |
Der Button zur Verwaltung der Nachweise
ist standardmäßig deaktiviert, da die gewählten
Nachweise
mit den Standardextremierungsvorschriften vom Programm
automatisch angelegt werden. |
| Bei Bedarf können die Extremierungen
jedoch manuell verändert werden. |
| Hierzu ist der Optionsschalter auf benutzerdefiniert zu stellen. Daraufhin wird der Button zum Öffnen
der Nachweisverwaltung aktiviert. |
|
|
|
|
|
|
| Tragfähigkeitsnachweis |
 |
Durch Aktivieren des Optionsschalters wird
der Nachweis im Grenzzustand der Tragfähigkeit
entspr. /16/, 6.2, geführt. |
Optional kann der Knicknachweis für
das Versagen des Druckgurtes durch Berücksichtigung
des
Knickbeiwertes kc nach /16/, 6.3.2, nachgewiesen
werden. |
| Der Beulnachweis für den Steg kann
optional nach /16/, 9.1.1(7), geführt werden. |
| Die Angaben zur Ermittlung des kc-Wertes
sind bei den abschnittsbezogenen Eigenschaften vorzunehmen. |
Der Nachweis der Auflagerpressung kann optional
geführt werden. Hierzu sind die zugehörigen
Lagerbreiten einzugeben. |
|
|
|
|
|
|
| Gebrauchstauglichkeitsnachweis |
 |
| Durch Aktivieren des entsprechenden Optionsschalters
wird als Nachweis der Gebrauchstauglichkeit der Verformungsnachweis
in der seltenen bzw. in der quasiständigen Bemessungssituation
gemäß /16/, 7, geführt. |
|
|
|
|
|
|
|
|
|
|
|
 |
|
| Der Träger kann in mehrere Abschnitte
unterteilt werden. Abschnittsweise können unterschiedliche
Verbindungsmittel oder Nachweisparameter eingestellt
werden. |
| Der Aufruf der Stabeigenschaften funktioniert
wie folgt |
|
| 1. |
Markieren des oder der Abschnitts/e
mit dem Cursor. |
|
Das Markieren geschieht durch Anklicken
des Stababschnitts im Eingabefenster oder
durch Anklicken des Abschnitts im Objektbaum
(linkes Teilfenster). |
| 2. |
Aufruf der Abschnittseigenschaften durch
Klicken des Werkzeug- und
anschließend des Stababschnittsbuttons. |
|
|
| Ein Doppelklick auf den Stababschnitt
oder den Eintrag im Objektbaum öffnet ebenfalls
das Eingabefenster zur Bearbeitung der Stabeigenschaften. |
| Das Fenster enthält fünf
Register zur Bearbeitung der stabbezogenen Parameter
(u.U. sind nicht alle Register aktiv). |
| Im linken Teilfenster wird der Stabquerschnitt
dargestellt. |
|
 |
|
|
| Register 1 - Abschnitt teilen |
 |
|
Wurde nur ein einzelner
Abschnitt markiert, so enthält
das 1. Register Angaben,
um den Abschnitt in weitere Teilabschnitte
zu unterteilen bzw. um die Abschnittslänge
zu editieren. |
| Eingabe der Länge
des markierten Abschnitts. |
|
|
|
|
| Bei Wahl der Option regelmäßig wird der Abschnitt in gleich lange Abschnitte
unterteilt. |
Mit den hier dargestellten
Eingaben, würden drei Abschnitte
mit einer Länge von je
0.83 m entstehen. |
| Soll der Abschnitt nicht
unterteil werden, ist bei Zwischenpunkte eine Null einzugeben. |
|
|
|
|
| Bei Wahl der Option unregelmäßig wird der Abschnitt in ungleich lange Abschnitte
unterteilt. |
| Es erscheint eine Tabelle, in der
die Abschnittslängen eingegeben werden können. |
| Mit den hier dargestellten Eingaben,
würden drei Abschnitte mit einer Länge
von 1.0 m, 0.5 m und 1.0 m entstehen. |
Mit der Option gemessen
von kann angegeben werden,
ob vom Anfangs- oder vom Endpunkt ausgehend
gemessen wird. |
|
|
|
| Wurden mehrere Abschnitte markiert,
so zeigt das 1. Register zur Information den Beginn
und das Ende des gewählten Stabzuges. Eingaben
können hier nicht vorgenommen werden. |
|
|
|
|
|
|
| Register 2 - Aufdoppelung |
 |
|
 |
Bei Wahl des Querschnittstyps
2 (Rechteck mit Aufdoppelung) besteht
die Möglichkeit,
die Aufdoppelung abschnittsweise
zu definieren. |
| Daher wird das Registerblatt
nur bei diesem Querschnittstyp aktiv. |
|
|
| Über die Optionsknöpfe kann
der obere Rechteckquerschnitt aktiviert oder deaktiviert
werden. |
|
|
|
| Wird die Option geschwächt gewählt, kann eine abweichende Querschnittshöhe
für den Abschnitt gesetzt werden. |
|
|
|
|
| Register 3 - Verbindungsmittel |
 |
|
Im dritten Register wird das für
den aktuellen Abschnitt zu verwendende Verbindungsmittel
für die Teilquerschnitte
ausgewählt. Zur Verfügung stehen: |
|
|
|
|
|
| Die Bolzentragkraft kann gemäß /16/,
8.2.3, durch Berücksichtigung des Einhängeeffekts erhöht
werden. |
I.d.R. wird die Querdruckpressung
unter der Unterlegscheibe maßgebend;
daher ist der Unterlegscheibendurchmesser
anzugeben. |
| Die Option automatisch wählt einen zum Bolzendurchmesser
passenden Scheibendurchmesser. |
|
|
|
|
| Das Maß a1 ist der Abstand der Verbindungsmittel
in Trägerlängsrichtung. |
| Falls die Verbindungsmittel
mehrreihig angeordnet sind, kann der
Abstand a2 in vertikaler
Richtung eingegeben werden. |
| Durch Aktivierung des
kleinen roten Optionsknopfs neben dem
Eingabefeld wird automatisch der minimal
zulässige Abstand vom Programm
gewählt. |
|
|
|
|
| Im Kontrollfenster links neben den
Registern erscheint der Trägerquerschnitt mit
den Verbindungsmitteln. |
| In der Tabelle darunter werden die
charakteristische Dübeltragfähigkeit Rk sowie die einzuhaltenden Verbindungsmittelmindestabstände a1 (... in Faserrichtung untereinander), a2 (... senkrecht zur Faserrichtung untereinander) und a4,c (... senkrecht zur Faser vom unbeanspruchten
Rand) ausgegeben. |
| Diese Daten dienen als Anhaltswerte
zur Konstruktion. |
 |
|
|
|
Die folgenden, den einzelnen Verbindungsmitteln zugeordneten Eigenschaftsblätter enthalten Optionen
zu normen- und zulassungsbedingten Feineinstellungen. |
 |
|
|
|
|
|
| Register 5 - Nachweise |
 |
|
| Die Aktivierung der zu führenden Nachweise erfolgt
unter den globalen Einstellungen. |
| Alle Nachweisparameter, die nur für
bestimmte Stababschnitte gelten, werden hier eingestellt. |
Der Knickbeiwert kc für
den Druckgurt nach /16/, Gl. (6.25), kann nach Vorgabe
der Ersatzstablänge lef vom
Programm ermittelt werden. Vom Anwender wird festgelegt,
ob der Ober- oder Untergurt der Druckgurt ist. |
| Alternativ kann der Wert durch Deaktivieren
der Option direkt vorgegeben werden. |
|
|
|
Die Vergleichslänge zur Berechnung
der zulässigen Durchbiegung kann direkt eingegeben
oder vom
Programm automatisch ermittelt werden. |
| Bei automatischer Ermittlung wird
der Abstand der Vertikallager des betreffenden Abschnitts
als Vergleichslänge eingesetzt. Dies entspricht
i.A. der Feldlänge. |
| Bei aktivierter Kragarmoption wird die zulässige Verformung entspr. /16/,
7.2 (2), für Kragarme erhöht. |
|
|
|
|
|
|
|
 |
| |
| Beim Durchlaufträger stehen zwei Freiheitsgrade
zur Verfügung, die unabhängig voneinander gelagert
werden können. |
| Es handelt sich dabei um die Verschiebung
in z-Richtung und die Verdrehung um die y-Achse. |
|
| Das Fenster zur Eingabe der Lagerbedingungen
wird durch einen Doppelklick auf den betreffenden Knoten
im Haupteingabefenster geöffnet. |
|
|
|
| Die Wahl der Lagerbedingung für Verschiebung
und Verdrehung erfolgt über die Optionsschalter. |
| Bei elastischer Lagerung wird das entsprechende
Eingabefeld für die Federsteifigkeit freigeschaltet. |
|
 |
bzw. |
 |
|
|
| Bei elastischer Lagerung muss die entsprechende
Federsteifigkeit ermittelt und eingegeben werden. |
|
|
| Bei Senkfedern kann
die Federsteifigkeit aus der Dehnsteifigkeit der
Lagerkonstruktion bzw. der Stütze unterhalb
des Lagers berechnet werden. Es gilt: |
 |
|
|
|
|
|
| Die Steifigkeit von Drehfedern ist von der
Biegesteifigkeit der entsprechenden Stütze abhängig. |
| Bei der Steifigkeitsberechnung muss zwischen
Stützen mit Fußeinspannung und solchen mit
gelenkigem Anschluss unterschieden werden. |
| Bei einer Stütze mit Fußeinspannung
errechnet sich die Federsteifigkeit zu |
|
|
|
| und bei gelenkiger Lagerung zu |
|
|
|
|
| Gelenke werden durch Setzen
des Häkchens aktiviert. |
 |
Über die %-Angabe kann eine Gelenkfeder
gesetzt werden. 0% entspricht
einem Vollgelenk. |
|
|
| Lagerbreite |
Die Auflagerbreite ist
für den Nachweis der Lagerpressung (optional)
erforderlich.
Für eine Breite = 0 wird der Nachweis für
dieses Lager nicht geführt. |
 |
|
| Die Auflagertiefe wird vom Programm automatisch
ermittelt. |
| Bei Trägertypen, bei denen mehrere
Querschnittsteile Kontakt zum Auflager haben (z.B. I-Querschnitt
mit seitlich an den Steg befestigten Gurten), wird lediglich
der Steg zur Übertagung der Kräfte herangezogen. |
|
 |
Das Löschen des gesamten Lagers
erfolgt durch einen Klick auf den Mülleimerbutton. |
|
|
|
|
 |
| |
| In der Eingabeoberfläche wird
im linken Teilfenster eine Liste der eingegebenen Objekte
(Stababschnitte, Lager und Lasten) mittels einer Baumstruktur
dargestellt. |
|
 |
|
 |
Es ist möglich, einerseits sowohl das einzelne
Objekt als auch die gesamte Gruppe mit der Maus zu aktivieren
und über das bearbeiten-Symbol zu bearbeiten, andererseits mittels Doppelklick das entsprechende
Eigenschaftsblatt direkt zu laden. |
| Aktivierte Objekte bleiben auch
nach Verlassen dieses Fensters im Systemfenster aktiviert. |
|
|
|
 |
| |
 |
durch Betätigen dieser Schaltfläche wird die
Bearbeitung von aktivierten Objekten eingeleitet. |
|
| Aktivierte Objekte werden in der Systemdarstellung
rot dargestellt. |
Die Schaltfläche selbst wiederum ist nur dann
aktiv, wenn ein
Objekt aktiviert ist. |
|
 |
|
|
| Als Objekte werden hier Balkenabschnitte, Lager,
Linien- und Einzellasten bezeichnet. |
| Die aktivierten Objekte können nun durch Anklicken
des entsprechenden Symbols (Balkenabschnitt, Lager oder Belastung)
bearbeitet werden. |
| Dazu wird jeweils sofort das zugehörige Eingabemenü
geöffnet. |
| Der Aufruf dieser Eingabe kann auch direkt durch
Doppelklick auf die Objekte im Systemfenster erfolgen. |
|
| Weiterhin können folgende Aktionen durchgeführt
werden: |
|
 |
aktivierte Objekte abwählen |
|
|
 |
aktivierte Objekte löschen |
|
|
|
|
 |
| |
 |
Hier kann für die einzelnen Nachweise
gewählt werden, welche Ergebnisgrafiken auf dem Bildschirm
dargestellt werden sollen. |
|
| Die Einstellungen werden für jeden
Nachweis separat abgespeichert. |
| In Abhängigkeit des über die Listbox
gewählten Nachweises wird das Fenster zur Auswahl
der darzustellenden Liniengrafiken geöffnet. |
| Durch Aktivieren bzw. Abwählen kann
der Anwender genau angeben, welche Ergebnisplots (z.B.
Biegemomente, Querkräfte oder Ausnutzungen) am Bildschirm
dargestellt werden sollen. |
|
 |
|
|
|
 |
| |
 |
| Der Umfang der Ausgabeliste kann
durch Aktivieren und Deaktivieren einzelner Schalter
detailliert gesteuert werden. |
|
| Hierzu stehen die globalen Schalter Tabellenumfang und Grafiken zur Verfügung. |
|
|
| Durch Setzen der Haken können die Tabellen
und Ergebnisgrafiken getrennt ein- und ausgeschaltet werden. |
Somit hat der Programmanwender die Möglichkeit,
den Inhalt und Umfang der gedruckten Ergebnisliste genau
seinen Vorstellungen anzupassen. |
|
 |
| |
| Das Programm setzt an den maßgebenden
Stellen im System automatisch Detailnachweispunkte. |
| An diesen Punkten werden detaillierte Nachweisergebnisse
mit den entsprechenden Zwischenresultaten ausgegeben,
so dass die Ergebnisse nachvollziehbar protokolliert werden. |
|
 |
Zusätzlich zu den automatisch
generierten Detailnachweispunkten können
vom Nutzer zusätzliche
Punkte gesetzt werden. Dies geschieht durch Anklicken
des entsprechenden Buttons. |
|
|
| In der Eingabetabelle können Detailnachweispunkte
an beliebigen Stellen auf den Stäben gesetzt werden. |
|
 |
|
|
|
 |
|
 |
|
|
|
| Lastbild |
 |
|
| Ein Lastbild (LB) ist entweder eine Linienlast
oder eine Einzellast. |
Die Eigenschaften eines Lastbildes sind
durch seine geometrische Lage, seine Lastordinaten und
seine Zuordnung
zu Lastfall und Einwirkung gegeben. |
| Ein Lastbild ist ein auswählbares
Objekt im Konstruktionsfenster. |
|
 |
|
|
|
|
| Lastfall |
 |
|
| Ein Lastfall (LF) ist immer eindeutig
einer Einwirkung zugeordnet. |
| Er kann beliebig viele Lastbilder aufnehmen.
Die Lastbilder eines Lastfalles wirken immer gemeinsam. |
| Ein Lastfall ist daher die kleinste auswählbare
Einheit bei der Ergebnisdarstellung. |
| Die Rechenergebnisse (Verformungen und
Schnittgrößen) eines einzelnen Lastbildes
können folglich nur dann betrachtet werden, wenn
dem Lastfall keine weiteren Lastbilder zugeordnet sind. |
| Eine Differenzierung zwischen den Ergebnisanteilen
unterschiedlicher Lastbilder innerhalb eines Lastfalls
kann auch bei der Extremwertbildung nicht mehr vorgenommen
werden. |
Neben der Lastfallnummer und der Lastfallbezeichnung
ist der Lastfalltyp die wesentliche Eigenschaft
eines
Lastfalls. |
Der Lastfalltyp legt fest, ob die Schnittgrößen
und Verformungen des Lastfalls additiv oder gruppenweise
alternativ
zu überlagern sind. |
| Eine additive Überlagerung besagt,
dass die Verformungen und Schnittgrößen eines
Lastfalles bei der Extremwertbildung dann berücksichtigt
werden, wenn sie ungünstig wirken. |
Weist der Lastfalltyp die Zuordnung zu
einer alternativen Gruppe aus, so wird bei der Extremwertbildung
nur
der Lastfall berücksichtigt, der sich am betrachteten
Punkt am ungünstigsten von allen Lastfällen
dieser Gruppe herausstellt. |
| Speziell bei den pcae-Durchlaufträgern
gibt es zusätzlich den Lastfalltyp aufteilen. |
| Dieser nur für Verkehrslasten relevante
Typ versteht sich als Eingabehilfe. |
| Ein über den gesamten Träger
definiertes Streckenlastbild kann hierdurch mehreren
Lastfällen gleichzeitig zugeordnet werden; und
zwar für jeden Trägerabschnitt jeweils einem
(Unter)-Lastfall. |
| Was zunächst wie ein Widerspruch
zum Vorangesagten aussieht, erweist sich hier als bequeme
Eingabe. |
| Würde diese Möglichkeit nicht
bestehen, müssten (bei einem n-Feldträger)
n Streckenlasten definiert und n verschiedenen Lastfällen
zugeordnet werden, um sicherzustellen, dass eine feldweise
korrekte Überlagerung durchgeführt wird. |
| Lastfälle vom Typ aufteilen werden im Konstruktionsfenster mit einem # gekennzeichnet
und tun damit kund, dass es sich im Grunde genommen
um eine Gruppe additiver Lastfälle handelt. |
|
|
|
|
|
| Einwirkung |
 |
|
| Eine Einwirkung kann beliebig viele Lastfälle
enthalten. |
| Neben der Einwirkungsnummer und der Einwirkungsbezeichnung
ist der Einwirkungstyp die wesentliche Eigenschaft einer
Einwirkung. |
| Er legt fest, ob die der Einwirkung zugeordneten
Lastfälle ständige Lasten (wie etwa Eigengewicht)
oder veränderliche Lasten (Verkehrslasten) enthalten. |
| Die Ergebnisse einer Einwirkung (es sind
dies die extremalen Schnittgrößen und Verformungen
der zur Einwirkung gehörenden Lastfälle) können
im Ergebnisfenster eingesehen werden. |
| Die Lastbilder derselben Einwirkung werden
im Konstruktionsfenster in einem eigenen Rahmen dargestellt. |
Lastbilder, Lastfälle und Einwirkungen
in der hier vorgestellten Form stellen gemeinsam ein
Ordnungsprinzip dar,
das auch den neuen Normen (wie etwa der DIN 1045-1),
die in starker Anlehnung an Eurocode entwickelt wurden,
gerecht wird. |
Der Anwender von 4H-DULAH sollte
das Ordnungsprinzip nutzen, um das vorliegende Problem
möglichst
übersichtlich darzustellen. |
| Weitere Informationen zum Thema finden
Sie im Handbuch das pcae-Nachweiskonzept. |
|
|
|
|
|
|
|
 |
|
| An dieser Stelle können streckenweise
Belastungen in Form von Linienlasten verschiedener
Lastgeometrien, Eigengewichts- oder Temperaturlasten
erzeugt werden. |
| Die Lasten können an beliebiger
Stelle auf dem Durchlaufträger angeordnet sein.
Sie werden bezüglich zweier Ankerpunkte definiert
und verwaltet. |
|
 |
| Es ist zu beachten,
dass es sich bei den eingegebenen
Lasten immer um Vertikallasten handelt;
Horizontallasten können nicht
verarbeitet werden! |
|
|
|
| Das Fenster zur Eingabe der Linienlasten
wird wie folgt geöffnet |
|
|
Stab oder Stabzug markieren |
 |
Button klicken |
 |
Button klicken |
|
|
Ist bereits eine Linienlast vorhanden,
kann das Eingabefenster auch durch einen Doppelklick
auf die Last
im Haupteingabefenster geöffnet werden. |
|
 |
|
 |
|
| Als Lastarten können
Temperatur-, Eigengewichts- oder Linienlast
gewählt werden. |
|
 |
|
|
| Über die Lastgeometrie-Listbox
können verschiedene Lastfiguren gewählt
werden. |
|
|
 |
|
|
| Die Anker legen Anfangs-
und Endpunkt der Lastausdehnung fest. |
|
 |
|
|
| Bei trapezförmigen Lasten
müssen die Lastordinaten am Anfang und
am Ende eingegeben werden. |
| Bei linearen Lastverläufen
wird nur eine Ordinate erwartet. |
Im Falle einer Eigengewichtslast
wird die Materialwichte γ und bei
einer Temperaturlast die Temperaturänderung
in °K eingegeben. |
|
 |
|
|
| Die Zuordnung zum Lastfall
erfolgt über eine Listbox. |
Ein Klick auf den Einwirkungsbutton öffnet die Einwirkungs-
und Lastfallverwaltung. |
|
 |
|
|
 |
eine Last kann durch einen Klick
auf den Mülleimer gelöscht werden |
|
|
|
|
|
 |
|
Es kann entweder eine punktförmige
Einzellast (Kraft oder Biegemoment) oder eine Lagerzwangsverformung
erzeugt werden. |
| Die Einzellast kann an beliebiger
Stelle auf dem Durchlaufträger angeordnet sein. |
| Die Zwangsverformung ist stets einem Lager zuzuordnen. |
|
 |
| Es ist zu beachten,
dass bei zusammengesetzten Querschnitten
gemäß /1/ , 8.6.2 (2),
nur Streckenlasten berücksichtigt
werden dürfen! |
| Der Anwender muss
daher entscheiden, ob die Eingabe
von Einzellasten trotzdem zulässig
ist! |
| Ferner ist zu beachten,
dass es sich bei den eingegebenen
Lasten immer um Vertikallasten handelt;
Horizontallasten können nicht
verarbeitet werden! |
|
|
|
| Das Fenster zur Eingabe der Punktlasten
wird wie folgt geöffnet |
|
 |
Stabpunkt markieren |
 |
Button klicken |
 |
Button klicken |
|
|
 |
|
| Als Lastart kann eine
Einzellast- oder Lagerzwangsverformung
(Drehung oder Verschiebung) gewählt
werden. |
|
 |
|
|
| Der Anker und der Abstand
a vom Anker legen den Lastangriffspunkt fest. |
|
 |
|
|
| Als Last kann eine Vertikallast
F und/oder ein Moment M eingegeben werden. |
| Im Falle einer Zwangsverformung
werden Verschiebung Δw in z-Richtung
und/oder eine Verdrehung Δφ
eingegeben. |
|
 |
|
|
| Die Zuordnung zum Lastfall
erfolgt über eine Listbox. |
| Ein Klick auf den Einwirkungsbutton öffnet die Einwirkungs- und Lastfallverwaltung. |
|
 |
|
|
 |
eine Last kann durch einen
Klick auf den Mülleimer gelöscht
werden |
|
|
|
|
|
|
|
| Allgemeines |
 |
|
| Die Berechnung der zusammengesetzten
Trägerquerschnitte erfolgt i.W.
nach dem γ-Verfahren gemäß /16/, Anh. B. |
| Die Spannungsnachweise der
Querschnittsteile werden nach /16/, 6.1,
geführt. |
|
 |
| Es ist zu
beachten, dass der Nachweis
der Schubspannungen infolge
eines Torsionsmomentes
vom Programm nicht durchgeführt
wird! |
| Weiterhin
ist zu beachten, dass
auch Horizontallasten
nicht berücksichtigt
werden können! |
|
|
|
|
|
|
 |
|
|
|
|
 |
Nachweise nach DIN 1052:2008-12 |
 |
|
|
|
 |
Nachweise nach EN 1995-1-1
und EN 1995-1-2 (EC 5) |
 |
|
|
|
|
 |
|
| Allgemeines |
 |
|
Im Folgenden werden die Tragfähigkeits-
und Gebrauchstauglichkeitsnachweise für Holztragwerke
n. EC 5,
DIN 1052:2008-12 sowie der Brandschutznachweis für
Holzbauten n. DIN 4102-22:2004 und ihre Implementierung
in 4H-DULAH beschrieben. |
| Mit der Norm wurden auch neue Materialbezeichnungen
eingeführt. In den pcae-Programmen
wird unterschieden in |
|
|
| C14, C16 (S7), C18, C20,
C22, C24 (S10), C27, C30 (S13), C35, C40,
C45, C50 |
|
|
| D30, D35, D40, D50, D60,
D70 und nur für EC 5 D18 und D24 |
|
|
GL24h (BS11), GL28h (BS14),
GL32h (BS16), GL36h (BS18), (homogen)
GL24c (BS11), GL28c (BS14), GL32c (BS16),
GL36c (BS18), (kombiniert) |
|
| OSB |
2, 3, 4 |
| Gipskarton |
GKB, GKF, GKBi |
| Sperrholz |
F20/10, F20/15, F25/10, F40/30, F50/25, F60/10 |
| Spanplatte |
Typ P4, P5, P6, P7 |
| Faserplatte |
hart, mittelhart |
|
|
| Um einen der nachfolgend beschriebenen Nachweise
führen zu können, muss jedem Teilquerschnitt
des zusammengesetzten Trägers eines der o.a. Materialien
zugeordnet werden. |
| DIN 1052:2008-12 setzt grundsätzlich
eine Schnittgrößenermittlung n. DIN 1055-100
voraus. |
Beim Tragfähigkeitsnachweis in der
ständigen und vorübergehenden Bemessungssituation
sowie bei den Gebrauchstauglichkeitsnachweisen ergeben
sich zusätzliche zu berücksichtigende Eigenarten.
Hierauf
wird bei der Beschreibung der einzelnen Nachweise eingegangen. |
| In Eurocode 5 wurden mit D18 und D24 zwei
weitere Laubholzklassen eingeführt. |
|
|
|
|
| Nutzungsklassen |
 |
|
| Bauwerke müssen einer Nutzungsklasse
zugeordnet werden. |
|
|
ist gekennzeichnet durch
eine Holzfeuchte, die einer Temperatur
von 20 °C und einer relativen Luftfeuchte
der umgebenden Luft entspricht, die nur
für einige Wochen pro Jahr einen
Wert von
65 % übersteigt, z.B. in allseitig
geschlossenen und beheizten Bauwerken. |
|
|
ist gekennzeichnet durch
eine Holzfeuchte, die einer Temperatur
von 20 °C und einer relativen Luftfeuchte
der umgebenden Luft entspricht, die nur
für einige Wochen pro Jahr einen
Wert von
85 % übersteigt, z.B. bei überdachten
offenen Bauwerken. |
|
|
erfasst Klimabedingungen,
die zu höheren Holzfeuchten führen
als in Nutzungsklasse 2
angegeben, z.B. für Konstruktionen,
die der Witterung ausgesetzt sind. |
|
|
|
Die Nutzungsklasse des Bauteils wird im
Eigenschaftsblatt Globale Einstellungen, Reg. Norm/Globale
Werte
festgelegt. |
| Die Festlegungen bzgl. der Nutzungsklasse
eines Bauwerks gelten auch für die Nachweise nach
EC 5. |
|
|
|
|
| Eurocode und die Nationalen Anwendungsdokumente |
 |
|
| Eurocode ist eine europäische Norm,
die in den Mitgliedsländern der EU durch ein jeweiliges
nationales Anwendungsdokument (NAD) verbindlich eingeführt
wird. |
| Eurocode erlaubt den Mitgliedsländern
in den NADs bestimmte Parameter, die in den Eurocodes
als Empfehlungen ausgewiesen sind, verbindlich zu überschreiben
(NDP: national determined parameters, national festzulegende
Parameter). |
Darüber hinaus kann ein NAD ergänzende,
nicht widersprechende Angaben zur Anwendung der Eurocodes
enthalten (NCI: noncontradictory complementary information). |
pcae ermöglicht, statische Berechnungen für Bauwerke
in allen Mitgliedsländern Europas zu erstellen.
Die
vollständige Einführung von Eurocode bietet
hierzu eine hervorragende Chance. |
Allein die nationalen Anwendungsdokumente
der teilnehmenden Staaten müssen in die Software
eingepflegt werden. |
pcae bietet hierzu ein Werkzeug an, das von allen Programmen,
die Eurocodenachweise anbieten,
aufgerufen werden kann
und die NADs unterschiedlicher europäischer Mitgliedsländer
verwaltet. |
|
Das Modul wird durch Anklicken des Flaggensymbols im Register Norm/Globale Werte und im Eigenschaftsblatt
zur Auswahl der Nationalen Anwendungsdokumente gestartet. |
|
 |
|
| Das nachfolgend darstellte Fenster zur Bearbeitung
der nationalen Anwendungsdokumente erscheint. |
|
 |
|
Im linken Fenster sind die einzelnen definierten
NADs aufgelistet. Hier befinden sich mindestens zwei Objekte:
Zum einen die EC-Standardparameter, die die Eurocode-Empfehlungen
enthalten, sowie das nationale Anwendungsdokument Deutschland.
Diese beiden Objekte werden von pcae mitgeliefert und sind nicht editierbar. |
| Über die Schalttafeln im Kopf des Eigenschaftsblatts
können neue NADs erzeugt sowie ausgewählte NADs
kopiert, umbenannt oder gelöscht werden. |
| Auf der rechten Seite werden in dem registergesteuerten
Fenster die Parameter des aktuell ausgewählten NADs
zur Einsicht bzw. zur Bearbeitung angeboten. |
| Sind hier Änderungen vorgenommen worden,
sollten diese ggf. schreibtischglobal durch Anklicken
des Diskettensymbols gesichert werden. |
| Das Eigenschaftsblatt hat für das Eingabemodul
auch einen reinen Auswahlcharakter: nach Verlassen des
Eigenschaftsblatts über den grünen
Haken wird das aktuell ausgewählte
NAD dem zu berechnenden Bauteil zugeordnet. |
Nachfolgend geführte Nachweise werden
dann mit den hierdurch festgelegten Parametern geführt.
Da dies von
Relevanz für Ergebnisse des Rechenlaufs sein kann,
erscheint eine entsprechende Meldung auf dem Sichtgerät. |
Das Eigenschaftsblatt weist i.d.R. nur eine
für das Programm relevante Untermenge der möglichen
Parameter aus.
Ihre Bedeutungen werden, so sie nicht selbsterklärend
sind, in der Beschreibung des Nachweises erklärt,
bei dem
sie zur Anwendung kommen. |
|
|
|
|
|
|
 |
|
| Tragfähigkeitsnachweis (Theorie I. Ordnung) |
|
 |
|
|
| Kurzbezeichnung: |
DIN 1052:2008
Tragfähigkeit
(Th. I. Ord.) |
| Zusatzbezeichnung: |
Tragfähigkeit
nach DIN 1052:2008
10.2.11 und 10.3 |
| Nachweisobjekte: |
Stabträger
aus Holz |
| Kombinationsregel: |
DIN 1055-100 |
| Überlagerungsvorschrift: |
Extremalbildungsvorschriften
und Lastkollektive |
| Interne Nummer: |
121 |
| Optionale Einstellungen: |
keine |
|
|
|
|
| Bei diesem Nachweis werden die vorhandenen Spannungen
den zulässigen Größen gegenübergestellt. |
| Der Ausnutzungsgrad, der überall ≤ 1.0 sein
muss, um den Nachweis als erbracht anzusehen, ergibt sich direkt. |
|
 |
Nachweis für Stäbe mit
Biegung entspr. DIN 1052:2008-12, Abs. 10.2.6 |
|
 |
|
 |
|
|
 |
Nachweis für Stäbe mit
Biegung n. DIN 1052:2008-12, Abs. 10.3.3 (Ersatzstabverfahren) |
|
 |
| |
 |
|
|
 |
Nachweis für Stäbe mit
Querkraft n. DIN 1052:2008-12, Abs. 10.2.9 |
|
 |
|
 |
|
|
| σm,y,d |
Normalspannung aus Moment um y-Achse |
| τz,d |
Schubspannung aus Querkraft in z-Richtung |
|
|
| berechnet aus den nach DIN 1055-100
faktorisierten Bemessungsschnittgrößen. |
|
 |
|
 |
|
|
|
| zusammengesetzte Querschnitte |
 |
| Für zusammengesetzte Querschnitte
werden die Spannungsnachweise entspr. DIN 1052:2008-12,
Abs. 10.5.1. und 10.5.2, geführt. |
|
 |
Nachweis für geklebte Verbundbauteile
entspr. DIN 1052:2008-12, Abs. 10.5.1 (2) |
|
|
|
|
 |
optional wird der vereinfachte Beulnachweis n.
DIN 1052:2008-12, Abs. 10.5.1 (3), geführt |
|
 |
Nachweis der Klebefuge |
|
|
| Für Querschnitte mit nachgiebigem
Verbund gilt zusätzlich gemäß
DIN 1052:2008-12, Abs. 10.5.2 (3) |
 |
| Für die Klebefuge zwischen Steg und
Gurt gilt gemäß DIN 1052:2008-12, Abs. 10.5.1 (4) |
|
 |
|
|
|
| Für die Bemessungswerte der Festigkeiten
gilt gemäß DIN 1052:2008-12 |
|
|
|
|
| kmod |
Modifikationsbeiwert |
| γM |
Materialsicherheitsbeiwert |
| |
= 1.0
für außergewöhnliche
Bemessungssituationen
= 1.3 sonst |
|
| fm,k,
fc,0,k,
ft,0,k,
fv,k |
Festigkeitskennwerte auf charak. Niveau
gem. Tab. DIN 1052:2008-12 F.5, F.7, F.9 |
| km |
Kippbeiwert (Ersatzstabverfahren) |
| kred |
Reduktionsfaktor |
|
|
|
|
|
| Sonderheiten bei der Lastfallüberlagerung |
 |
| Der Modifikationsbeiwert kmod ist abhängig
von der Nutzungsklasse des Bauwerks und der Art der beteiligten Einwirkungen,
die zu den extremalen Schnittgrößen führen. Hierbei ist die Zuordnung
der Einwirkung zur Klasse der Lasteinwirkungsdauer maßgebend. |
| Modifikationsbeiwerte in Abhängigkeit der Klassen
der Lasteinwirkungsdauer (KLED) |
|
|
|
|
|
|
| Klasse der
Lasteinwirkungsdauer |
Nutzungsklasse |
| |
1 |
2 |
3 |
| ständig |
länger als 10 Jahre |
0.60 |
0.60 |
0.50 |
| lang |
6 Monate bis 10 Jahre |
0.70 |
0.70 |
0.55 |
| mittel |
1 Woche bis 6 Monate |
0.80 |
0.80 |
0.65 |
| kurz |
kürzer als eine Woche |
0.90 |
0.90 |
0.70 |
| sehr kurz |
kürzer als 1 Minute |
1.10 |
1.00 |
0.90 |
|
|
|
|
|
| Die hier angegebenen
Werte gelten für die in pcae-Programmen
vorhandenen Vollholz- und Brettschichtholzgüten. |
|
|
"Der
Einfluss der Nutzungsklasse und der Klasse der Lasteinwirkungsdauer
auf die Festigkeitseigenschaften werden" ... "durch den Modifikationsbeiwert
berücksichtigt.
Bei Lastkombinationen aus Einwirkungen, die zu verschiedenen Klassen der
Lasteinwirkungsdauer gehören, gilt die Einwirkung mit der kürzesten
Dauer als maßgebend." |
| : ... "dabei sind sämtliche
Lastfallkombinationen zu überprüfen" |
| ...
"Der Einfluss des Modifikationsbeiwertes auf den Bemessungswert
der Festigkeitseigenschaft kann bewirken, dass eine Einwirkungskombination
maßgebend ist, die nicht den maximalen Bemessungswert
der zugehörigen Beanspruchung liefert." |
|
|
|
| Es kann (und wird)
folglich durchaus passieren, dass
allein das Eigengewicht (ständige
Lasten) den maßgeblichen
Bemessungsfall darstellt, da diesem
der kleinste kmod-Wert
zugeordnet ist. |
|
| Beispiel |
|
| Die Lastfallüberlagerung kann am besten an einem Beispiel
zu erläutern: |
| Gegeben sei ein Bauwerk der Nutzungsklasse 1 mit den Einwirkungen |
|
| 1: |
Eigengewicht |
Typ = ständige Lasten |
KLED = ständig |
kmod = 0.60 |
| 2: |
Verkehr |
Typ = veränderliche Lasten |
KLED = mittel |
kmod = 0.80 |
| 3: |
Wind |
Typ = veränderliche Lasten |
KLED = kurz |
kmod = 0.90 |
| 4: |
Schnee |
Typ = veränderliche Lasten |
KLED = kurz |
kmod = 0.90 |
|
|
|
| Bei Einrichten des
hier zu beschreibenden Tragfähigkeitsnachweises
wird automatisch eine Extremalbildungsvorschrift
vom Typ standard erzeugt,
die den Normalfall der ständigen
und vorübergehenden Bemessungssituation
berücksichtigt. |
| Die Extremalbildungsvorschrift
sortiert zunächst die ihr
zugeordneten Einwirkungen in Abhängigkeit
der Größenordnung ihrer
kmod-Werte. Nun werden Gruppen gebildet: |
|
 |
die erste Gruppe besteht allein aus der Einwirkung Eigengewicht, da dieser Einwirkung
der kleinste
kmod-Wert (0.60) zugeordnet ist |
|
 |
| die zweite Gruppe wird von den Einwirkungen Eigengewicht und Verkehr gebildet |
|
 |
| die Extremalen dieser beiden Einwirkungen
sind mit kmod = 0.80 nachzuweisen |
|
 |
in der dritten Gruppe kommen die Einwirkungen Wind und Schnee hinzu.
Dieser Gruppe ist der
kmod-Wert 0.90 zugeordnet. |
|
|
|
| In den ständigen und vorübergehenden Bemessungssituationen
wird jede Gruppe für sich extremiert und mit dem ihr zugeordneten
kmod-Wert nachgewiesen. |
| Die Festlegung, welche Klasse der Lasteinwirkungsdauer
einer Einwirkung zuzuordnen ist, legt der Benutzer im Eigenschaftsblatt
zur Verwaltung der Einwirkungen fest. |
| Entscheidungshilfen bietet die Norm in DIN 1052:2008-12 Tab. 4. |
|
 |
|
|
|
|
|
|
|
|
| Nachweis der Gebrauchstauglichkeit in der seltenen Bemessungssituation |
|
 |
|
|
| Kurzbezeichnung: |
DIN 1052:2008
Verformungen (selten) |
| Zusatzbezeichnung: |
Gebrauchstauglichkeit
nach DIN 1052:2008
9 (seltene BS) |
| Nachweisobjekte: |
Stabträger
aus Holz |
| Kombinationsregel: |
DIN 1055-100 (seltene
Kombination) |
| Überlagerungsvorschrift: |
Extremalbildungsvorschriften |
| Interne Nummer: |
122 |
| Optionale Einstellungen: |
keine |
|
|
|
| Der Nachweis beschränkt sich auf Eingrenzung der Verformungen
im Vergleich zu den empfohlenen Grenzwerten. |
| Mit diesem Nachweis sollen Schäden an Trennwänden,
Installationen, Verkleidungen oder dergleichen vermieden werden.
Aus diesem Grunde spielen die Verformungen aus veränderlichen
Lasten eine übergeordnete Rolle. |
| Die beiden nachfolgend dargestellten Teilnachweise sind zu erbringen. |
|
 |
|
|
|
| Der Kriecheinfluss
ist n. DIN 1052:2008-12, Abs.
8.3, (zeitabhängige Verformungen)
wie folgt zu berücksichtigen. |
|
 |
|
|
|
|
| Sonderheiten bei der Lastfallüberlagerung |
 |
| Der Wert für Teilnachweis A kann direkt mit
der Extremalbildungsvorschrift für Gebrauchstauglichkeitsnachweise
in der seltenen Kombination gewonnen werden, wenn die Faktoren der
ständigen Einwirkungen zu 0 gesetzt werden. |
| Es gilt |
|
|
| Für Teilnachweis B erfolgt zunächst eine Umformung |
|
|
|
| Die ständigen Lasten können folglich direkt
mit kdef multipliziert werden. |
Bei den veränderlichen Lasten wird wie oben beschrieben
zwischen führenden und nicht führenden
Einwirkungen unterschieden. |
| Es ergibt sich |
|
|
|
|
|
|
|
|
| Nachweis der Gebrauchstauglichkeit in der quasiständigen Bemessungssituation |
|
 |
|
| Kurzbezeichnung: |
DIN 1052:2008
Verformungen (quasiständig) |
| Zusatzbezeichnung: |
Gebrauchstauglichkeit
nach DIN 1052:2008
9 (quasiständige
BS) |
| Nachweisobjekte: |
Stabträger
aus Holz |
| Kombinationsregel: |
DIN 1055-100 (quasiständige
Kombination) |
| Überlagerungsvorschrift: |
Extremalbildungsvorschriften |
| Interne Nummer: |
123 |
| Optionale Einstellungen: |
keine |
|
|
|
Der Nachweis beschränkt
sich auf die Eingrenzung der Verformungen
im Vergleich zu den empfohlenen
Grenzwerten. |
| Mit diesem Nachweis sollen die allgemeine Benutzbarkeit
und das Erscheinungsbild gewährleistet werden. |
|
 |
|
|
|
| In der quasiständigen
Bemessungssituation gilt |
|
|
|
|
|
|
|
|
| Sonderheiten bei der Lastfallüberlagerung |
 |
| Um den Kriecheinfluss bei der quasiständigen Bemessungssituation
zu berücksichtigen, müssen die Teilsicherheitsbeiwerte nur
mit dem Wert (1+ kdef) multipliziert werden. |
|
|
|
|
|
|
|
|
|
|
 |
|
| Die Holzbaunachweise n. Eurocode 5 entsprechen
denen der DIN 1052:2008-12 in hohem Maße. Aus diesem
Grunde werden hier nur die Unterschiede beschrieben. |
|
|
| Tragfähigkeitsnachweis (Theorie I. Ordnung) |
|
 |
|
|
| Kurzbezeichnung: |
EC 5 Tragfähigkeit
(Th. I. Ord.) |
| Zusatzbezeichnung: |
Tragfähigkeit
nach DIN EN 1995 |
| Nachweisobjekte: |
Stabträger
aus Holz |
| Kombinationsregel: |
Eurocode |
| Überlagerungsvorschrift: |
Extremalbildungsvorschriften
und Lastkollektive |
| Interne Nummer: |
221 |
| Optionale Einstellungen: |
keine |
|
|
|
| Der Nachweis entspricht
bis auf die folgenden Anmerkungen
dem Tragfähigkeitsnachweis
n. DIN 1052:2008-12. |
|
 |
| Umbenennungen:
kred (DIN 1052) heißt
im EC 5 km;
km (DIN 1052) heißt
im EC 5 kcrit |
|
|
|
 |
| die
charakteristischen
Festigkeitswerte
für Biegung
und Zug dürfen
u.U. mit dem Faktor
kh erhöht werden |
 |
für
Rechteckquerschnitte
aus Vollholz
ist kh = (150/h)0.2,
jedoch
nicht
größer
als 1.3 |
 |
für
Rechteckquerschnitte
aus Brettschichtholz
ist kh = (600/h)0.1,
jedoch
nicht
größer
als 1.1 |
|
|
| → vgl.
EN 1995-1-1, (3.1)
und (3.2) |
|
|
|
 |
| es
gelten die in
EC 5 angegebenen
kmod-Werte,
die mit denen
der DIN 1052 zunächst
identisch sind |
Das
deutsche Anwendungsdokument
legt zusätzlich
fest, dass der
kmod-Wert
bei Einwirkungen
vom Typ Wind
aus dem Mittelwert
der Lasteinwirkungsdauern kurz und sehr kurz berechnet werden
darf. |
| Dies
macht faktisch
(programmintern)
die Einrichtung
einer neuen Klasse
der Lasteinwirkungsdauer
erforderlich. |
|
| → vgl.
EN 1995-1-1, Tab.
3.1, sowie DIN
EN 1995-1-1/NA,
Tab. NA.1, Fußnote
b |
|
|
|
 |
| es
gelten die in
EC 5 angegebenen
Festigkeitswerte,
die mit den Festigkeitswerten
von DIN 1052 im
Großen und
Ganzen übereinstimmen.
Augenfällig
ist jedoch eine
durchgängig
höhere Schubfestigkeit. |
| Dafür wird in EC 5 der
Rissfaktor kcr für die Beanspruchbarkeit
auf Schub eingeführt. |
| Für Voll- und Brettschichtholz ist kcr = 0.67. |
| kcr dient der Festlegung der effektiven
(wirksamen) Breite bei der Berechnung der Schubspannungen
nach der Formel bef = kcr·b
mit b = tatsächliche Breite. |
| Da bei der Ermittlung der Spannungen
b linear eingeht (Dübelformel), entspricht dies
einer künstlichen Erhöhung der gegebenen
Bemessungswerte, die dann den erhöhten
Schubfestigkeitswerten gegenübergestellt werden. |
|
| → vgl.
EN 1995-1-1, (6.13a) |
|
| Das
deutsche nationale
Anwendungsdokument
widerspricht dieser
Vorgehensweise
für Nadel-
und Brettschichtholz. |
Hierin
wird der Parameter
kcr so festgelegt,
dass die Festigkeitswerte
für Nadel-
und Brettschichtholz
durch kcr
geteilt gerade
die Festigkeitswerte
der DIN 1052:2008-12
widerspiegeln. |
|
|
|
 |
| der
im EC 5 empfohlene
Materialsicherheitsbeiwert
für Vollholz
beträgt 1.3
- der für
Brettschichtholz
1.25 |
|
| → vgl.
EN 1995-1-1, Tab.
2.3 |
|
| Das
deutsche nationale
Anwendungsdokument
legt den Materialsicherheitsbeiwert
für Vollholz
wie auch für
Brettschichtholz
mit 1.3 fest. |
|
| → vgl.
DIN EN 1995-1-1/NA,
Tab. Na. 2 |
|
|
|
 |
| in
Gleichung (B.9)
des EC 5 hat sich
offensichtlich
ein Fehler eingeschlichen. |
|
 |
|
| Hier
muss es h und nicht h2 heißen. |
| Somit
sind die Gleichungen
identisch mit
denen der DIN
1052 (vgl. DIN
1052:2008, 8.6.2
(33)) |
|
| Gemäß
EC 5, 2.3.2.2
(2), gilt: |
| Wird
die Verteilung
der Schnittgrößen
durch die Steifigkeitsverteilung
im Tragwerk beeinflusst,
sollten für
Nachweise im Grenzzustand
der Tragfähigkeit
die Endwerte der
Mittelwerte der
entsprechenden
Elastizitätsmoduln
Emean,fin,
der Schubmoduln
Gmean,fin und der Verschiebungsmoduln
Kser,fin nach folgenden
Gleichungen bestimmt
werden. |
|
 |
|
| → vgl.
DIN EN 1995-1-1/NA,
Tab. Na. 2 |
|
| Da
in EC 5 , 9.1.1
(6) P, keine Angaben
über den
Nachweis der Klebefuge
gemacht werden,
erfolgt der Nachweis
entsprechend DIN
1052:2008. |
|
|
|
|
|
|
|
| Gebrauchstauglichkeitsnachweis |
|
 |
|
|
| Kurzbezeichnung: |
EC 5 Verformungen |
| Zusatzbezeichnung: |
Gebrauchstauglichkeit
nach DIN EN 1995 |
| Nachweisobjekte: |
Stabträger
aus Holz |
| Kombinationsregel: |
Eurocode / EC5-Spezial |
| Überlagerungsvorschrift: |
Extremalbildungsvorschriften |
| Interne Nummer: |
222 |
| Optionale Einstellungen: |
Auswahl Unternachweise |
|
|
|
| Der Nachweis besteht aus drei Einzelnachweisen, die
jeder für sich optional (de)aktiviert werden können. |
| Allen gemeinsam ist, dass nachgewiesen werden
muss, dass die unter bestimmten Lastkombinationen berechneten
Verformungen bestimmte Grenzwerte nicht überschreiten. |
|
 |
1. Nachweis: winst |
|
| winst ist die Verformung
in der charakteristischen (in DIN 1055 selten genannten) Kombination ohne Kriecheinfluss |
|
|
|
 |
2. Nachweis: wfin = winst + wcreep |
|
| mit winst s.o. |
| wcreep ist die Kriechverformung,
die sich zusätzlich zur elastischen
Anfangsverformung im Laufe der Zeit einstellt. |
| Die Kriechverformung ist die mit kdef multiplizierte in der quasiständigen
Kombination ermittelte Verformung. |
| Die Werte werden vom Programm durch
Setzen von ψdom = 1 + ψ2·
kdef und ψsub = ψ0 + ψ2·kdef ermittelt. |
|
|
|
 |
3. Nachweis: wnet,fin |
|
| Laut EN 1995-1-1 ist hier die im 2. Nachweis ermittelte
Verformung wfin unter Berücksichtigung
einer evtl. vorgegebenen Vorverformung nachzuweisen. |
| Das deutsche NAD widerspricht dem in der 1.
Änderung DIN EN 1995-1-1/NA/A1 (vom Febr. 2012). |
Demnach gilt: wnet,fin ist die Endverformung
in der quasiständigen Kombination abzgl. einer evtl.
vorgegebenen Vorverformung. |
| Die Endverformung ermittelt sich
aus der Anfangsverformung durch Multiplikation
mit dem Faktor (1 + kdef). |
|
|
|
Die den einzelnen Nachweisen zugeordneten Grenzwerte
sind in EN 1995-1-1 als Empfehlungen angegeben und
vom NAD Deutschland als Empfehlung bestätigt. Sie können
vom Benutzer jedoch (ggf. nach Absprache mit dem Bauherrn) geändert werden. |
|
|
|
|
|
|
|
|
 |
|
 |
|
| Ringdübel DIN EN 1995-1-1 |
|
 |
|
|
| Bemessungswert der Tragkraft |
 |
|
|
|
|
| wirksame Anzahl der in Faserrichtung hintereinander liegenden Verbindungsmittel (n>2) |
 |
|
|
|
|
|
|
|
|
 |
|
|
| Bemessungswert der Tragkraft |
 |
|
|
|
|
| wirksame Anzahl der in Faserrichtung hintereinander liegenden Verbindungsmittel (n>2) |
 |
|
|
|
|
|
|
|
 |
|
| Scheibendübel DIN EN 1995-1-1 |
|
 |
|
| Bemessungswert der Tragkraft |
 |
|
|
|
|
| wirksame Anzahl der in Faserrichtung hintereinander liegenden Verbindungsmittel (n>2) |
 |
|
|
|
|
|
|
|
| Scheibendübel DIN 1052:2008 |
|
 |
|
| Bemessungswert der Tragkraft |
 |
|
|
|
|
| wirksame Anzahl der in Faserrichtung hintereinander liegenden Verbindungsmittel (n>2) |
 |
|
|
|
|
|
|
|
 |
|
| Stabdübel DIN EN 1995-1-1 |
|
 |
|
| vereinfachtes Rechenverfahren |
 |
|
| Bei Wahl des vereinfachten
Rechenverfahrens nach DIN EN 1995-1-1/NA:2010-12,
8.6, errechnet sich der Bemessungswert
der Tragkraft zu |
|
|
|
|
|
|
|
|
|
| wirksame Anzahl der in Faserrichtung hintereinander liegenden Verbindungsmittel (n>2) |
 |
|
|
|
|
|
|
|
|
|
 |
|
| vereinfachtes Rechenverfahren |
 |
|
|
|
|
| wirksame Anzahl der in Faserrichtung hintereinander liegenden Verbindungsmittel (n>2) |
 |
|
|
|
|
|
| Alternativ kann mit dem genaueren Verfahren nach Anhang
G.2 gerechnet werden. |
|
|
|
|
 |
|
| Schrauben DIN EN 1995-1-1 NAD |
|
 |
|
| Bemessungswert der Tragkraft vereinfachtes Rechenverfahren |
 |
|
| Bei Wahl des vereinfachten Rechenverfahrens nach DIN EN 1995-1-1/NA:2010-12,
8.2, errechnet sich der Bemessungswert der Tragkraft zu: |
|
|
|
|
|
|
| wirksame Anzahl der in Faserrichtung hintereinander liegenden Verbindungsmittel (n>2) |
 |
|
|
|
|
| charakteristische Tragfähigkeit genaueres Verfahren |
 |
|
| Bei Wahl des genaueren
Verfahren nach /16/, 8.2.2, (s. auch
/2/, E 12.6) berechnet sich die charakteristische
Tragfähigkeit nach folgenden
Gleichungen, von denen der kleinste
Wert maßgebend ist. |
|
 |
einschnittige Verbindungen |
|
 |
|
|
 |
zweischnittige Verbindungen |
|
 |
|
|
|
|
|
|
|
|
|
|
 |
|
| Bemessungswert der Tragkraft vereinfachtes Rechenverfahren |
 |
|
Bei Wahl des vereinfachten
Rechenverfahrens n. DIN 1052, 12.2.3,
errechnet sich der Bemessungswert
der Tragkraft zu |
|
|
|
|
|
|
|
| wirksame Anzahl der in Faserrichtung hintereinander liegenden Verbindungsmittel (n>2) |
 |
|
|
|
|
| Alternativ kann mit dem genaueren Verfahren nach Anhang
G.2 gerechnet werden. |
|
| charakteristische Tragfähigkeit genaueres Verfahren |
 |
|
| Bei Wahl des genaueren
Verfahren nach DIN 1052:2008-12, Anhang
G.2 (s. auch Erl. DIN 1052:2008-12,
E12.6), berechnet sich die charakteristische
Tragfähigkeit nach folgenden Gleichungen,
von denen der kleinste Wert maßgebend ist. |
|
 |
einschnittige Verbindungen |
|
 |
|
|
 |
zweischnittige Verbindungen |
|
 |
|
|
|
|
|
|
|
|
|
| SPAX- und ASSY-Schrauben |
 |
| Die Berechnung von SPAX-Schrauben mit
Teil- oder Vollgewinde erfolgt gemäß /9/, /10/, /11/
und /13/; |
| Würth ASSY Vollgewindeschrauben
und Selbstbohrende Schrauben entspr. /14/ und /15/. |
|
|
|
 |
|
| Nägel und stiftförmige Verbindungsmittel vereinfachtes Rechenverfahren DIN 1052 u. NAD |
|
 |
|
| Verbindungen von Bauteilen aus Holz und Holzwerkstoffen |
 |
|
|
|
|
| Stahlblech-Holz-Verbindungen |
 |
|
|
|
|
| Holz-Holz-Nagelverbindungen |
 |
|
|
|
|
|
|
|
|
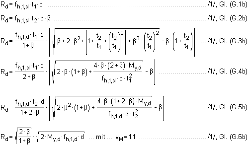
| Nachweis mit stiftförmigen Verbindungsmittel DIN EN 1995-1-1 |
|
 |
|
| Für Verbindungen aus Holz berechnet
sich die charakteristische Tragfähigkeit nach folgenden
Gleichungen. |
| Die Terme zur Berücksichtigung der
Seilwirkung wurden weggelassen, da sie separat behandelt
werden. |
| Der kleinste Wert ist maßgebend. |
|
|
| einschnittige Verbindungen |
 |
|
|
|
|
| zweischnittige Verbindungen |
 |
|
|
|
Für zweischnittige Stahlblech-Holz-Verbindungen berechnet
sich die charakteristische Tragfähigkeit
nach folgenden Gleichungen; der kleinste Wert ist maßgebend. |
|
 |
dünne Bleche |
|
 |
|
|
 |
dicke Bleche |
|
 |
|
|
|
|
|
|
|
|
|
| Bemessungsverfahren für stiftförmige Verbindungsmittel DIN EN 1995-1-1 |
|
 |
|
Für Verbindungen aus Holz gemäß
/2/, E 12.2.2(3), kann der Bemessungswert der Tragfähigkeit
nach den
Gleichungen /16/, 8.2.2, durch Einsetzen der Bemessungswerte
My,d und fh,d direkt berechnet
werden. |
| Die Terme zur Berücksichtigung der
Seilwirkung wurden weggelassen, da sie separat behandelt
werden. |
| Der kleinste Wert ist maßgebend. |
|
|
| einschnittige Verbindungen |
 |
|
|
|
|
| zweischnittige Verbindungen |
 |
|
|
|
Für zweischnittige Stahlblech-Holz-Verbindungen berechnet
sich der Bemessungswert der Tragfähigkeit
nach folgenden Gleichungen, von denen der kleinste Wert maßgebend ist. |
|
 |
dünne Bleche |
|
 |
|
|
 |
dicke Bleche |
|
 |
|
|
|
|
|
|
|
|
|
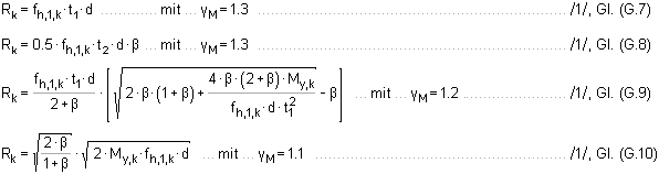
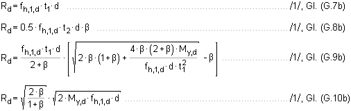
| Genaueres Verfahren DIN 1052:2008 für den Nachweis mit stiftförmigen Verbindungsmitteln |
|
 |
|
| Für Verbindungen aus Holz berechnet
sich die charakteristische Tragfähigkeit nach
folgenden Gleichungen. |
| Der kleinste Wert ist
maßgebend. |
|
|
|
| einschnittige Verbindungen |
 |
|
|
|
|
| zweischnittige Verbindungen |
 |
|
|
|
| Für zweischnittige Stahlblech-Holz-Verbindungen
berechnet sich die charakteristische
Tragfähigkeit nach folgenden Gleichungen,
von denen der kleinste Wert maßgebend ist. |
|
|
|
|
|
|
|
|
|
|
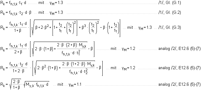
| Bemessungsverfahren DIN 1052:2008 für stiftförmige Verbindungsmitteö |
|
 |
|
| Für Verbindungen aus Holz gemäß
Erl. DIN 1052:2008-12, E 12.2.2(3), kann der Bemessungswert
der Tragfähigkeit nach den Gleichungen DIN 1052:2008-12,
Anhang G.2, durch Einsetzen der Bemessungswerte
My,d und fh,d direkt berechnet
werden. |
| Der kleinste Wert ist
maßgebend. |
|
|
| einschnittige Verbindungen |
 |
|
|
|
|
| zweischnittige Verbindungen |
 |
|
|
|
| Für zweischnittige Stahlblech-Holz-Verbindungen
berechnet sich die charakteristische Tragfähigkeit
nach folgenden Gleichungen, von denen der kleinste Wert maßgebend ist. |
|
|
|
|
|
|
|
|
|
|
 |
|
| Erhöhung der Tragfähigkeit durch Berücksichtigung des Ausziehwiderstands DIN EN 1995-1-1 |
 |
|
|
| In bestimmten Fällen darf die Tragfähigkeit
Fv,Rk (Rk) um einen Anteil
ΔFv,Rk (ΔRk)
erhöht werden. |
| Dieser Anteil resultiert aus dem Ausziehwiderstand
des Verbindungsmittels. |
| Der Anteil ΔFv,Rk ergibt
sich aus dem Term |
|
|
|
| der Gleichungen /16/, (8.6) und 8.7. |
|
|
| Nägel |
 |
|
| Nach /16/, 8.2.2 (2), darf bei Verwendung metallischer,
stiftförmiger Verbindungsmittel
der Einfluss der Seilwirkung berücksichtigt
werden. Bei runden Nägeln ist
er auf 15% vom Scherwiderstand begrenzt. |
| Die Einschlagtiefe sollte dabei mindestens 8 d betragen. |
|
|
| Bei Verwendung von
Fermacellplatten ist gemäß
/4/ jedoch eine Erhöhung möglich.
Es gilt |
|
| "Bei einschnittigen Verbindungen mit überwiegend
kurzzeitiger Beanspruchung darf die ermittelte charakteristische
Tragfähigkeit Rk für eine Beanspruchung parallel
zum Rand der Gipsfaserplatte um
einen Anteil ΔRk wie folgt erhöht werden:" |
|
|
|
Der Ausziehparameter
fax,k und die Kopfdurchziehfestigkeit
fhead,k werden nach /16/,
8.3.2 Gl.(8.25), bzw.
nach /41/, NCI Zu 8.3.2, Tab. NA.16, bestimmt. |
Für die Ermittlung
des Ausziehwiderstandes Fax,Rk darf für alle zulässigen
Verbindungsmittel der charakteristische
Wert des Kopfziehparameters fhead,k = 15 N/mm2 angenommen werden. |
|
|
|
|
|
|
| Klammern |
 |
|
| Für Klammern
gilt das Gleiche wie für Verbindungen
mit Nägeln. |
| Nach /41/, NCI zu
8.4 (NA.13), können beharzte
Klammern wie 2 glattschaftige Nägel
behandelt werden. |
| Bei Verwendung von
Fermacellplatten gilt entsprechend
/28/ für den Ausziehwiderstand
Rax,k: |
|
|
|
|
|
|
|
| Sondernägel |
 |
|
Nach /41/, 8.3.2 (4),
darf der Ausziehwiderstand für
Nägel mit anderem als glattem
Schaft, wie in EN 14592 definiert,
wie folgt berechnet werden |
|
|
|
| Nach /41/, NCI Zu
8.3.1.3 (NA.9), darf bei einschnittigen
Holzwerkstoff-Holz-Nagelverbindungen
mit profilierten Nägeln (Sondernägeln)
- außer bei Gipsplatten-Holz-Verbindungen
- der charakteristische Wert
der Tragfähigkeit Fv,Rk um einen Anteil ΔFv,Rk erhöht werden. |
|
|
|
Nach /41/, NCI Zu
8.3.1.4 (NA.4), darf bei einschnittigen
Stahlblech-Holz-Nagelverbindungen
mit profilierten Nägeln die
charakteristische Tragfähigkeit
Fv,Rk nach Gleichung
(NA.121) um einen Anteil ΔFv,Rk erhöht werden. |
|
|
|
| Nach /41/, NCI Zu
8.3.2 (NA.12), dürfen für
Nägel, die nach /21/ einer
Tragfähigkeitsklasse zugeordnet
wurden, die charakteristischen Werte
für die Ausziehparameter und
die Kopfdurchziehparameter n. Tab.
NA. 16 bestimmt werden. |
|
|
|
|
|
| Schrauben |
 |
|
| Nach /16/, 8.7.2 (4)
darf für Verbindungen mit Schrauben
n. /27/ mit |
|
|
|
| der charakteristische
Ausziehwiderstand berechnet werden
zu |
|
|
|
|
|
|
|
| Passbolzen |
 |
|
Bei Verbindungen mit
Bolzen oder Passbolzen darf der
charakteristische Wert der Tragfähigkeit
Fv,Rk n. /16/ 8.2.2
um einen Anteil ΔFv,Rk erhöht werden. |
| Gemäß /16/
8.2.2 (2) ist ΔFv,Rk auf 25% von Fv,Rk zu
begrenzen. |
| Maßgebend für
ΔFv,Rk ist die
Querdruckspannung unter der Unterlegscheibe.
Die wirksame Fläche unter der
Scheibe kann nach /16/, 8.5.2(2),
zu A · 3.0 · fc,90,k berechnet werden. |
|
|
|
|
|
|
| Bolzen und Gewindestangen |
 |
|
| Sofern
nichts anderes festgelegt ist, gelten
die Bestimmungen für Verbindungen
mit Stabdübeln und Passbolzen
sinngemäß. |
|
|
|
|
|
| Ring- und Scheibendübel |
 |
|
| Ring- oder Scheibendübel
bieten keinen Widerstand gegen Herausziehen. |
| Da Ring- oder Scheibendübel
jedoch immer in Verbindung mit Bolzen
ausgeführt werden müssen,
wird vom Programm der Herausziehwiderstand
des verwendeten Bolzens ermittelt. |
| Dieser Herausziehwiderstand
kann auch gemäß
/16/, 8.2.2, oder /1/, 12.3 (8),
zur Erhöhung der Schertragfähigkeit
herangezogen werden. |
|
|
|
|
|
|
| Erhöhung der Tragfähigkeit durch Berücksichtigung des Ausziehwiderstands DIN 1052:2008 |
 |
|
|
| In bestimmten Fällen
darf die Tragfähigkeit Rk um einen
Anteil ΔRk erhöht werden. |
| Dieser Anteil resultiert
aus dem Ausziehwiderstand des Verbindungsmittels. |
|
|
| Nägel |
 |
|
| Bei Verbindung mit
glattschaftigen Nägeln sieht
DIN 1052 unter Verwendung üblicher
Materialien keine Möglichkeit
der Erhöhung der Tragfähigkeit
vor. |
| Bei Verwendung von
Fermacellplatten ist gemäß
/4/ jedoch eine Erhöhung möglich.
Es gilt: |
|
| "Bei einschnittigen
Verbindungen mit überwiegend
kurzzeitiger Beanspruchung darf
die ermittelte charakteristische
Tragfähigkeit Rk für eine Beanspruchung parallel
zum Rand der Gipsfaserplatte um
einen Anteil ΔRk wie
folgt erhöht werden:" |
|
|
| Für die Ermittlung
des Ausziehwiderstandes Rax,k darf für alle zulässigen
Verbindungsmittel der charakteristische
Wert des Kopfziehparameters f2,k = 15 N/mm2 angenommen
werden. |
|
|
|
|
|
| Klammern |
 |
|
| Für
Klammern gilt das Gleiche wie für
Verbindungen mit Nägeln. |
| Bei Verwendung
von Fermacellplatten gilt entsprechend
/4/ für den Ausziehwiderstand
Rax,k: |
|
|
|
|
|
|
|
| Sondernägel |
 |
|
Bei einschnittigen
Holzwerkstoff-Holz-Nagelverbindungen
mit Sondernägeln der Tragfähigkeitsklasse
3 - nicht jedoch
bei Gipskarton-Holz-Verbindungen
- darf der charakteristische Wert
der Tragfähigkeit Rk n. /1/, Gl. (226), um einen Anteil
ΔRk erhöht
werden. |
|
|
|
| Beim Anschluss von
Brettsperrholz, Sperrholz, OSB-Platten,
kunstharz- oder zementgebundenen
Spanplatten dürfen die charakteristischen
Werte des Kopfdurchziehparameters
f2,k n. Tab. 14 nur dann
in Rechnung gestellt werden, wenn
diese Platten mindestens 20 mm dick
sind. |
| Die charakteristische
Rohdichte ρk ist
dabei mit 380 kg/m3 in
Rechnung zu stellen. |
| Für Platten mit
einer Dicke zwischen 12 mm und 20
mm darf in allen Fällen nur
mit f2,k = 8 N/mm2 gerechnet werden. |
| Bei geringeren
Plattendicken als 12 mm darf mit
Rax,k = 400 N gerechnet
werden. |
|
Bei einschnittigen
Stahlblech-Holz-Nagelverbindungen
mit Sondernägeln der Tragfähigkeitsklasse
3 darf
der charakteristische Wert der Tragfähigkeit
Rk n. Gl. (228) um einen
Anteil ΔRk erhöht
werden. |
|
|
|
|
|
|
|
| Schrauben |
 |
|
Bei einschnittigen
Verbindungen mit Holzschrauben darf
der charakteristische Wert der Tragfähigkeit
Rk
um einen Anteil ΔRk erhöht werden. |
|
|
|
Der charakteristische
Wert des Ausziehwiderstands von
Holzschrauben, die unter einem Winkel
45° ≤ α ≤ 90°
zur Faserrichtung in das Holz eingeschraubt
sind, darf wie folgt berechnet werden. |
|
|
|
| Für f1,k und f2,k dürfen
die in /1/, Tab. 15, angegebenen
Werte in Rechnung gestellt werden. |
Holzschrauben mit
einem Gewinde n. DIN 7998 dürfen
ohne Nachweis in die Tragfähigkeitsklasse
2A
eingestuft werden. |
Für
den Nachweis der Tragfähigkeit
einer Holzschraube mit einem Gewinde
n. DIN 7998 auf Zug in
Schaftrichtung darf die charakteristische
Tragfähigkeit der Schraube
angenommen werden zu. |
|
|
|
| Beim Anschluss von
Brettsperrholz, Sperrholz, OSB-Platten,
kunstharz- oder zementgebundenen
Spanplatten dürfen die charakteristischen
Werte des Kopfdurchziehparameters
f2,k n. Tab. 14 nur dann
in Rechnung gestellt werden, wenn
diese Platten mindestens 20 mm dick
sind. |
| Die charakteristische
Rohdichte ρk ist
dabei mit 380 kg/m3 in
Rechnung zu stellen. |
| Für Platten mit
einer Dicke zwischen 12 mm und 20
mm darf in allen Fällen nur
mit f2,k = 8 N/mm2 gerechnet werden. |
| Bei geringeren Plattendicken
als 12 mm darf mit Rax,k = 400 N gerechnet werden. |
|
|
|
|
|
| Passbolzen |
 |
|
Bei Verbindungen mit
Passbolzen darf der charakteristische
Wert der Tragfähigkeit Rk n. 12.2 um
einen Anteil ΔRk erhöht werden. |
|
|
|
| Für die
Berechnung von Rax wird i.d.R. die Querdruckpressung
der Unterlegscheibe auf
das Holz maßgebend. |
Die effektive
Querdruckfläche ist
abhängig vom Unterlegscheiben-
und vom Bolzendurchmesser
und berechnet
sich gemäß /8/,
8.3, zu |
|
|
|
|
|
|
|
|
| Bolzen und Gewindestangen |
 |
|
| Sofern nichts anderes
festgelegt ist, gelten die Bestimmungen
für Verbindungen mit Stabdübeln
und Passbolzen sinngemäß. |
|
|
|
|
|
| Ring- und Scheibendübel |
 |
|
| Ring- oder Scheibendübel
bieten keinen Widerstand gegen Herausziehen. |
| Da Ring- oder Scheibendübel
jedoch immer in Verbindung mit Bolzen
ausgeführt werden müssen,
wird vom Programm der Herausziehwiderstand
des verwendeten Bolzens ermittelt. |
Dieser Herausziehwiderstand
kann auch gemäß /1/,
12.3(8), zur Erhöhung der Schertragfähigkeit
herangezogen werden. |
|
|
|
|
|
|
|
 |
| zur Hauptseite 4H-DULAH, Holzträger zusammengesetzte Querschnitte |
 |
|
 |