 |
|
| Seite erweitert Juli 2025 |
 |
Kontakt |
 |
|
 |
Programmübersicht |
 |
|
 |
Bestelltext |
 |
|
|
|
|
|
| Handbuch |
 |
|
|
|
|
| Infos auf dieser Seite |
... als pdf |
 |
|
 |
|
| Engabeoberfläche |
 |
 |
Hauptfenster Widerst./Tabm. |
 |
|
 |
Reg. Hölzer Anschlussmodus |
 |
|
|
 |
Hauptfenster Anschlussmodus |
 |
|
 |
... Verb.mittel Wid./Tabmodus |
 |
|
 |
... Schnittgrößen Anschlussm. |
 |
|
 |
Vorlagen für Anschlüsse ......... |
 |
|
 |
... Verb.mittel Anschlussmod. |
 |
|
 |
Import Schnittgr./Mat./Geom. |
 |
|
 |
Reg. Hölzer Wid. / Tabmodus |
 |
|
 |
... Anordnung Anschlussmod. |
 |
|
 |
Register Tabellenmodus ........ |
 |
|
|
|
| Nachweise |
 |
 |
Ringdübel ............................. |
 |
|
 |
Nägel
/ stiftförmige Verb. ....... |
 |
|
 |
stiftf. Verb. Bemessungsverf.... |
 |
|
 |
Schrauben ............................ |
 |
|
 |
vereinfachtes Verfahren ........ |
 |
|
 |
Ausziehwiderstand ................ |
 |
|
 |
Scheibendübel ...................... |
 |
|
 |
Stabdübel ............................. |
 |
|
 |
Blockscherversagen .............. |
 |
|
|
|
|
 |
|
|
 |
|
| Das Haupteingabefenster enthält fünf Registerblätter,
in denen die Eingabe der Parameter erfolgt. |
|
 |
| Register Hölzer im Widerstands- und Tabellenmodus |
|
 |
|
 |
|
 |
|
 |
|
|
|
|
 |
|
| Bild vergrößern |
 |
|
|
|
| Buttonleiste |
 |
| Standardmäßig befindet sich am oberen Bildschirmrand
die Buttonleiste für die Hauptfunktionen des Programms. |
Mit der geriffelten Grifffläche am rechten Rand kann die Buttonleiste mit der linken Maustaste "gegriffen" und an
anderer Stelle im Eingabefenster platziert werden. |
|
 |
|
| Über die Listbox Berechnungsmodus kann zwischen dem Widerstandsmodus, dem Tabellenmodus und dem Anschlussmodus gewechselt werden. |
 |
Im Widerstandsmodus berechnet das
Programm die Tragfähigkeit auf Abscheren oder in
Axialrichtung eines einzelnen
Verbindungsmittels.
Das dritte Registerblatt ist inaktiv. |
|
 |
| Im Tabellenmodus können
im nun aktivierten dritten Registerblatt Tragfähigkeitstabellen nach eigenen Vorgaben
erstellt werden. Als Eingangsgrößen können
verschiedene Parameter (Durchmesser,
Bauteildicken, Kraft-Faser-Winkel, ...) variiert
werden. |
|
|
| Im Anschlussmodus kann der Anschluss zweier Stäbe mit
beliebigen Verbindungsmitteln nachgewiesen werden. |
|
|
|
|
|
| Hinter den Buttons liegen folgende Funktionen |
|
 |
in der Schalterstellung an wird nach jeder
Eingabeänderung in der Bildschirmmaske automatisch
eine Berechnung durchgeführt (nur im Widerstandsmodus aktiv) |
|
|
|
 |
| in der Schalterstellung aus muss die
Berechnung vom Benutzer durch Klicken des Abacus-Buttons gestartet werden (nur im Widerstandsmodus aktiv) |
|
|
|
 |
| über den Abacus wird die Berechnung durchgeführt. |
| Die Resultate erscheinen im Ergebnisfenster unten. |
|
|
|
 |
| ruft den Dialog zum
Schnittgrößenimport auf (nur im Anschlussmodus aktiv) |
|
|
|
 |
| ruft den Dialog zur Wahl des nationalen Anhangs auf |
|
|
|
 |
| ruft den Dialog für die Bildschirm- und
Druckeinstellungen auf |
|
|
 |
| ruft die Druckvorschau auf |
|
|
|
|
 |
| ruft die Hilfefunktion auf |
|
|
|
|
|
|
|
| Berechnungseinstellungen |
 |
| In der rechten Fensterhälfte befinden sich die Einstellungen
zum Berechnungsverfahren |
|
| DIN EN 1995 in Verbindung mit dem NAD geben dem Statiker verschiedene Bemessungsverfahren an die Hand. |
Die Verfahren beruhen gemeinsam auf der
Theorie von
Johansen (1949). |
Beim genauen Verfahren aus /16/, 8.2.2,
werden verschiedene
auf der Fließgelenktheorie beruhende Versagensfälle
untersucht, von denen derjenige mit der geringsten Tragfähigkeit
maßge-
bend wird. |
| Da die Anwendung dieses Verfahrens sehr
aufwendig ist, steht alternativ das vereinfachte Verfahren nach /17/, 8.2 ff. |
|
In den Erläuterungen zur DIN 1052, /2/, wird darüber hinaus die Möglichkeit beschrieben,
die Bemessungswerte aufgrund der in /1/, Anh. G.2, beschriebenen Versagensfälle durch Einsetzen
der Bemessungswerte von fh,d und My,d zu bestimmen. |
| Diese Variante liefert i.d.R. die höchsten Tragfähigkeiten,
da hier die verschiedenen Einflüsse der Holzfeuchte und der Lastein-wirkungsdauer
am besten berücksichtigt werden. |
|
| Systemplot |
 |
In der rechten Fensterhälfte unter den Berechnungseinstellungen
wird zur Kontrolle der Eingabe ein maßstäblicher Systemplot mit
den gewählten Hölzern und Winkeln angezeigt. |
|
|
|
|
| Ergebnisfenster |
 |
| In der rechten Fensterhälfte unter
dem Systemplot befindet sich das Ergebnisfenster. Hier werden
die Scher- und Ausziehtrag-fähigkeiten des
Verbindungsmittels angezeigt. |
| Im Erfolgsfalle ist der Hintergrund grün gefärbt. |
|
 |
|
|
| Im Falle einer fehlerhaften Berechnung erscheint eine Fehlermeldung vor rotem Hintergrund. |
|
 |
|
|
|
|
|
 |
|
| Das Haupteingabefenster hat im Anschlussmodus folgendes Aussehen. |
|
|
 |
|
| Bild vergrößern |
 |
|
|
|
|
 |
|
 |
| Ein Klick auf den Vorlagenbutton im Register Hölzer öffnet
dieses Fenster (nur im Anschlussmodus). |
|
|
|
|
|
|
| Die Anschlüsse sind gegliedert in |
 |
| Rahmenecken (L-förmige Anschlüsse) |
|
 |
| Stabanschlüsse
(T-förmige Anschlüsse) |
|
 |
| Stabkreuzungen (Scherengelenke) |
|
 |
| Stöße (gerade Anschlüsse) |
|
 |
|
|
|
| Die Auswahl erfolgt durch Anklicken des
entsprechenden Symbols. |
| Der gewählte Verbindungstyp wird nach Klick auf den grünen Haken übernommen. |
| Alle vorgenommenen Einstellungen können im Haupteingabefenster geändert werden. |
|
| Der Kreuzungswinkel wird im Winkeleingabefeld
festgelegt. |
 |
|
|
|
|
 |
|
 |
Im ersten Registerblatt werden alle notwendigen Eingaben zum verwendeten Holz oder
Holzwerkstoff eingestellt. |
|
|
|
 |
|
| Bild vergrößern |
 |
|
|
|
|
|
| Die erste Spalte im Registerblatt enthält allgemeine
Angaben zur Verbindung. |
|
| Die Verbindung kann einschnittig mit zwei
Hölzern oder zweischnittig mit einem Mittelholz und
zwei gleich starken Seitenhölzern ausgeführt
werden. |
|
 |
|
|
| Die Lasteinwirkungsdauer berücksichtigt
den Einfluss der zeitabhängigen Faktoren auf die
Bemessungswerte. |
| Aus Lasteinwirkungsdauer und Nutzungsklasse
wird der Beiwert kmod ermittelt. |
| Die Bemessungswerte werden i.A. nach der
Formel Xd = kmod * Xk /γM berechnet. |
Gehören Einwirkungen aus Lastkombinationen
zu verschiedenen Klassen
der Lasteinwirkungsdauer, ist gemäß /16/ und
/1/ die Einwirkung mit der kürzesten Dauer maßgebend. |
| Die Lasteinwirkungsdauer kurz/sehr
kurz ist nur bei Benutzung des NAD
wirksam. |
|
 |
|
|
|
| Bei Hölzern sind die Tragfähigkeiten abhängig vom Kraftfaserwinkel. |
Um die Verhältnisse hinreichend zu beschreiben, ist die Eingabe des
Winkels δ zwischen den Hölzern und des Kraftfaserwinkels zum
Seitenholz α1 erforderlich. |
|
 |
|
|
|
|
| Die zweite Spalte im Registerblatt enthält die
erforderlichen Angaben zu Seitenholz 1. |
|
| Aus Nutzungsklasse und Lasteinwirkungsdauer
ergibt sich der Bemessungswert (s.o. allgemeine Einstellungen). |
|
 |
|
|
| Für das äußere Seitenholz
stehen verschiedene Hölzer, Holzwerkstoffe und Stahl-
oder Aluminiumbleche
zur Auswahl. |
|
 |
|
|
| In der Listbox wird die zur gewählten
Holzart (Nadelholz, Laubholz, Brettschichtholz, OSB, ...)
gehörende Materialgüte gewählt. |
|
 |
|
|
| t bezeichnet die Materialdicke |
|
 |
|
|
| b bezeichnet die Materialbreite.
Durch Wahl der min-Option wird die kleinstmögliche Breite vom Programm eingesetzt. |
|
 |
|
|
|
|
|
| Die dritte Spalte im Registerblatt enthält die
erforderlichen Angaben zum Seitenholz 2 oder bei zweischnittigen Verbindungen
zum Mittelholz. |
| Alle Eingaben sind analog zu denen von Seitenholz 1. |
|
|
|
|
|
| In der rechten Fensterhälfte
wird zur Kontrolle der Eingabe ein maßstäblicher Systemplot mit
den gewählten Hölzern und Winkeln angezeigt. |
Mit den Schiebereglern über dem Plot kann
die Transparenz der beiden Hölzer eingestellt werden. |
|
|
|
|
|
|
|
| Im Widerstandsmodus erscheint unter dem Systemplot das Ergebnisfenster mit den
Tragfähigkeiten des gewählten Verbindungsmittels. |
| Hier werden die Scher- und Ausziehtragfähigkeiten des
Verbindungsmittels angezeigt. |
| Im Erfolgsfalle ist der Hintergrund grün gefärbt. |
|
 |
|
|
| Im Falle einer fehlerhaften Berechnung erscheint eine Fehlermeldung vor rotem Hintergrund. |
|
 |
|
|
|
|
 |
|
 |
Im ersten Registerblatt werden alle notwendigen Eingaben zum verwendeten Holz oder
Holzwerkstoff eingestellt. |
|
|
|
 |
|
| Bild vergrößern |
 |
|
|
|
|
|
| Die erste Spalte im Registerblatt enthält allgemeine
Angaben zur Verbindung. |
|
Zur Erleichterung
der Eingaben können vordefinierten Anschluss-
typen geladen
werden. Ein Klick auf den Button Anschlusstyp von
Vorlage öffnet das Auswahlfenster. |
|
 |
|
|
Die Verbindung kann einschnittig mit zwei
Hölzern oder zwei-
schnittig mit einem Mittelholz und
zwei gleich starken Seitenhölzern ausgeführt
werden. |
|
|
|
|
Jedes der beiden Hölzer kann
durchgehen oder am Anschlusspunkt enden. Deshalb
muss über die Optionsbuttons gewählt werden, ob
das Holz durchgeht (beidseitig) oder einseitig (rechts oder links) vom Anschlusspunkt wegführt. |
| Der Winkel bestimmt die Neigung des
Holzes gegen die Horizontale (nach oben positiv). |
| Bei einseitigen Anschlüssen kann die
Länge der Seite eingegeben werden, die am
Anschlusspunkt endet. Dies ist wichtig, da das Holz
u.U. zur Einhaltung der erforderlichen
Mindestrandabstände verlängert werden muss. |
| Die Überstandslänge wird vom Knotenpunkt aus gemessen. |
| Bei Wahl der Option schräg wird
der Überstand bei schiefwinkligen Anschlüssen
parallel zum anderen Holz abgeschnitten. |
|
 |
|
|
|
Für das Mittenholz gelten sinngemäß die gleichen Angaben wie
für die Seitenhölzer. |
| |
|
|
|
|
|
|
|
|
| Die zweite Spalte im Registerblatt enthält die
erforderlichen Angaben zu Seitenholz 1. |
|
| Aus Nutzungsklasse und Lasteinwirkungsdauer
ergibt sich der Bemessungswert (s.o. allgemeine Einstellungen). |
|
 |
|
|
|
| Für das äußere Seitenholz
stehen verschiedene Hölzer, Holzwerkstoffe und Stahl-
oder Aluminiumbleche
zur Auswahl. |
|
 |
|
|
| In der Listbox wird die zur gewählten
Holzart (Nadelholz, Laubholz, Brettschichtholz, OSB, ...)
gehörende Materialgüte gewählt. |
|
 |
|
|
|
| t bezeichnet die Materialdicke |
|
 |
|
|
| b bezeichnet die Materialbreite.
Durch Wahl der min-Option wird die kleinstmögliche Breite vom Programm eingesetzt. |
|
 |
|
|
|
|
|
|
| Die dritte Spalte im Registerblatt enthält die
erforderlichen Angaben zum Seitenholz 2 oder bei zweischnittigen Verbindungen
zum Mittelholz. |
| Alle Eingaben sind analog zu denen von Seitenholz 1. |
|
|
|
|
|
| In der rechten Fensterhälfte
wird zur Kontrolle der Eingabe ein maßstäblicher Systemplot mit
den gewählten Hölzern und Winkeln gezeigt. |
Mit den Schiebereglern über dem Plot kann
die Transparenz der beiden Hölzer eingestellt werden. |
|
|
|
|
|
|
|
|
| Im Anschlussmodus erscheint unter dem Systemplot eine
Skizze mit der Vorzeichendefinition der Stabwinkel und
der Vermaßung der Holzüberstände. |
|
 |
|
|
|
|
 |
|
 |
Im zweiten Registerblatt erfolgen alle notwendigen Eingaben
zum verwendeten Verbindungsmittel. |
|
|
|
|
|
| Die Auswahlbox enthält alle verwendbaren
Verbindungsmittel. |
Ist die Wahl eines Typs aus bestimmten Gründen
nicht möglich, beispielsweise Ringdübel A1 in
Verbindung mit Stahllaschen, wird der betreffende Typ blass
dargestellt
und ist nicht auswählbar. |
|
|
|
|
|
|
| Unter der Verbindungsmittelauswahlbox werden die
erforderlichen Angaben zur Dimension des gewählten
Verbindungsmittels vorgenommen sowie ggf. zusätzliche Parameter
eingegeben. |
|
| Bei Dübel- und Bolzenverbindungen steht
eine feste Liste von Verbindungsmittelgrößen
entspr. /1/, Anh. G, zur Auswahl. |
|
 |
|
|
| Bei Nagel-, Schrauben- und Klammerverbindungen
werden Durchmesser und Länge über die entsprechenden Listboxen
gewählt. |
| Bei Nagel-, Schrauben- und Klammerverbindungen
können die Größenangaben auch frei eingegeben
werden. |
| Bei Bolzen oder Schrauben können Unterlegscheiben
gewählt werden. |
| Durch Aktivierung des Optionsknopfs automatisch wird der passende Scheibendurchmesser vom Programm
gewählt. |
|
|
|
|
|
|
|
| In der rechten Hälfte des Registerblatts
erscheinen
in Abhängigkeit vom gewählten Verbindungsmittel zusätzliche Parameter oder Berechnungsoptionen. |
|
|
|
|
| Besonderheiten der Verbindungsmittel |
|
|
|
 |
| Durchmesser und Länge des Nagels
werden über die entsprechenden Listboxen gewählt. |
| Der Kopfdurchmesser wird vom Programm
automatisch eingetragen. |
| Optional können alle Parameter
benutzerdefiniert vorgegeben werden. |
|
|
|
|
| Wegen der Spaltgefahr des Holzes muss bei
Nagelverbindungen ohne Vorbohrung die Dicke t von Bauteilen
aus Vollholz eine Mindestholzdicke entspr. /16/, 8.3.1.2(6), eingehalten werden. |
| Diese Bedingung führt zu relativ großen
Mindestholzdicken. |
Bei Vergrößerung der Mindestnagelabstände
zum Rand rechtwinklig zur Faser mindestens auf 10 d für
ρk ≤ 420 kg/m3 und auf mindestens
14 d für 420 kg/m3 < ρk < 500
kg/m3 darf
eine verminderte Mindestholzdicke
gemäß /16/, Gl. (8.19),
bzw. /1/, Gl. (219), angesetzt werden. |
|

|
|
|
Über diese Option kann gewählt werden, ob das Einschlagloch
vorgebohrt wird. |
| Der Herausziehwiderstand Fax,Rk ist bei vorgebohrten
Verbindungen = 0. |
|
 |
|
|
| Gemäß /16/, 9.2.4.2 (5), bzw.
/1/, 10.6 (4), gilt |
"Werden bei Tafeln mit allseitig schubsteif
verbundenen Plattenrändern für den Anschluss
der Platten an die Rippen stiftförmige Verbindungsmittel
verwendet, so dürfen die charakteristischen Tragfähigkeiten
nach Abschnitt 12 mit um
20 % erhöhten Werten in Rechnung gestellt werden." |
|
 |
|
|
|
|
|
|
 |
Über die Listboxen werden Durchmesser und Länge der
Klammer gewählt. |
| Soll der Herausziehwiderstand Fax berechnet werden, ist die Eingabe der effektiven Länge lef erforderlich. |
| Durch Aktivierung der Option Benutzerdefiniert können freie Parameter
eingegeben werden. |
|
 |
|
|
| Nach /16/, 8.3.2(8), gilt |
| "Für Bauholz, das mit einer der Fasersättigung
entsprechenden oder diese übersteigenden Holzfeuchte
eingebaut wird und voraussichtlich unter Lasteinwirkung
austrocknet, sind die Werte von fax,k und fhead,k mit 2/3 zu multiplizieren." |
|
|
|
|
| Um den Herausziehwiderstand Fax ansetzen zu können, müssen die Klammern geharzt
sein. |
|
 |
|
|
| Infolge des Einhängeeffekts (Seilwirkung)
darf ein Teil des Herausziehwiderstands Fax unter bestimmten Voraussetzungen gemäß /16/ und auch bei Fermacellplatten gemäß /4/ zur Erhöhung des Scherwiderstands Fv,Rk angesetzt werden. |
|
|
|
|
| Gemäß /16/, 9.2.4.2 (5), bzw.
/1/, 10.6 (4), gilt |
"Werden bei Tafeln mit allseitig schubsteif
verbundenen Platten-
rändern für den Anschluss der Platten an die
Rippen stiftförmige Verbindungsmittel verwendet,
dürfen die charakteristischen Tragfähigkeiten
nach Abschnitt 12 mit um 20 % erhöhten Werten
in Rechnung gestellt werden." |
|
 |
|
|
| Zugfestigkeit des Stahls |
 |
|
|
|
|
|
|
 |
| Eingabe und Berechnung erfolgen i.W. analog zu den Nagelverbindungen. |
Da weder in /16/ noch in /41/ Werte für
Auszieh- und Kopfzieh-parameter angegeben sind, werden
die Werte der Klassen 2
und A nach /1/, Tab. 15, verwendet, sofern keine Unterleg-
scheibe gewählt
wurde. |
| Die übrigen Optionen entsprechen denen
der Nägel. |
|
 |
|
|
| Durch Aktivierung der Option Benutzerdefiniert können freie Parameter
eingegeben werden. |
| d1 bezeichnet den Kerndurchmesser und |
| lef die Gewindelänge |
|
|
|
|
|
|
|
|
 |
| Eingabe und Berechnung erfolgen i.W.
analog zu den Nagelverbindungen. |
Bzgl. der charakteristischen Werte
für die Ausziehparameter f1,k und die
Kopfdurchziehparameter f2,k werden die Werte gemäß
/36/ und /37/ verwendet. |
|
 |
|
|
| Zusätzlich können bei SPAX-Schrauben
Einschraubwinkel zwischen 30° und 90° gewählt
werden. |
| Der Einschraubwinkel wird bei der Berechnung
des Ausziehwiderstands berücksichtigt. |
| Die Schertragfähigkeit bleibt in der
Berechnung vom Einschraubwinkel unberührt! |
Über die Optionsknöpfe kann anstelle
des üblichen Stahls
auch rostfreier Stahl gewählt
werden. |
| Bei Schrauben mit Senkkopf kann
zudem eine Unterlegscheibe eingebaut
werden. Bei Wahl der Option automatisch wird der
Scheibendurchmesser in Abhängigkeit vom
Schraubendurch-messer vom Programm eingesetzt. |
|
 |
|
|
|
|
|
|
 |
Die SPAX-Zulassung /37/ ermöglicht die Herstellung einer
Vielzahl von Schraubentypen mit unterschiedlichen Parametern. |
| Um dem Anspruch einer größtmöglichen Flexibilität gerecht
zu werden, erlaubt das Programm daher die Eingabe frei definierter SPAX-Schrauben auf Basis der Zulassung. |
|
 |
| Ob der gewählte Schraubentyp lieferbar ist, muss vom Anwender sichergestellt werden! |
|
|
|
|
|
 |
|
|
| In der ersten Eingabezeile kann eine Bezeichnung der
Schraube eingegeben werden. |
| Über die Listboxen werden Kopfform,
Gewindeteil und die Schraubenspitze gewählt. |
Als Material können Kohlenstoffstahl oder rostfreier Stahl
gewählt werden. |
| Optional kann eine Unterlegscheibe gewählt werden. |
|
Folgende geometrische Parameter können eingegeben
werden |
| d |
Durchmesser |
| l |
Länge |
| lef,K |
Länge des Gewindes unter dem Kopf |
| lef,S |
Länge des Gewindes von der Spitze aus gemessen |
| dU |
Durchmesser der Unterlegscheibe |
|
|
 |
|
|
|
|
|
|
 |
| Eingabe und Berechnung erfolgen i.W. analog zu den Nagelverbindungen. |
Bezüglich der charakteristischen Werte
für die Ausziehparameter fax und die Kopfdurchziehparameter
fhead werden die Werte
gemäß /14/ bzw. /15/ verwendet. |
|
 |
|
|
| Zusätzlich können bei ASSY-Schrauben
Einschraubwinkel zwischen 30° und 90° gewählt
werden. |
| Der Einschraubwinkel wird bei der Berechnung
des Ausziehwiderstands berücksichtigt. |
| Die Schertragfähigkeit bleibt in der
Berechnung vom Einschraubwinkel unberührt! |
| Über die Optionsknöpfe kann anstelle
des üblichen Stahls rostfreier Stahl gewählt
werden. |
Bei Schrauben mit Senkkopf kann eine Unterlegscheibe
eingebaut werden. Bei Wahl der Option automatisch wird der
Scheibendurchmesser in Abhängigkeit vom Schraubendurch-
messer vom Programm eingesetzt. |
|
 |
|
|
| Bei Verwendung von Douglasien sind gemäß
/15/, A.1.4.1, bei nicht vorgebohrten Schrauben die Mindestabstände
in Faserrichtung um 50% zu erhöhen. |
|
 |
|
|
Schrauben mit einem Durchmesser ≥ 8 mm dürfen gemäß
/15/, 4.2, ohne Vorbohren nur in die Holzarten Fichte, Tanne
oder Kiefer eingeschraubt werden. |
|
|
|
|
|
|
|
|
 |
| Die Würth-Zulassung /56/ ermöglicht die Herstellung einer Vielzahl von
Schraubentypen mit unterschiedlichen Parametern. |
| Um dem Anspruch einer größtmöglichen Flexibilität gerecht
zu werden, erlaubt das Programm daher die Eingabe frei definierter ASSY-Schrauben auf Basis der Zulassung. |
|
 |
| Ob der gewählte Schraubentyp lieferbar ist, muss vom Anwender sichergestellt werden! |
|
|
|
|
|
 |
|
|
| In der ersten Eingabezeile kann eine Bezeichnung für die
Schraube eingegeben werden. |
| Über die Listboxen können Kopfform, Gewindeteil und die Schraubenspitze gewählt werden. |
Als Material können Kohlenstoffstahl oder rostfreier Stahl
gewählt werden. |
Optional kann eine Unterlegscheibe gewählt werden.
Hierbei
kann zwischen einer gepressten und einer
gedrehten Scheibe gewählt werden. |
|
| Folgende geometrische Parameter können eingegeben
werden |
| d |
Durchmesser |
| l |
Länge |
| lef,K |
Länge des Gewindes unter dem Kopf |
| lef,S |
Länge des Gewindes von der Spitze aus gemessen |
| dU |
Durchmesser der Unterlegscheibe |
|
|
 |
|
|
|
|
|
|
 |
| Eingabe und Berechnung erfolgen i.W.
analog zu den Nagelverbindungen. |
Bzgl. der charakteristischen Werte
für die Ausziehparameter f1,k und die
Kopfdurchziehparameter f2,k werden die Werte gemäß
/95/ verwendet. |
|
 |
|
|
Über die Optionsknöpfe kann anstelle
des üblichen Stahls
rostfreier Stahl gewählt werden. |
| Bei Schrauben mit Senkkopf kann
zudem eine Unterlegscheibe eingebaut
werden. Bei Wahl der Option automatisch wird der
Scheibendurchmesser in Abhängigkeit vom
Schraubendurch-messer vom Programm eingesetzt. |
|
 |
|
|
|
|
|
|
 |
| Eingabe und Berechnung erfolgen i.W.
analog zu den Nagelverbindungen. |
Bzgl. der charakteristischen Werte für
die Ausziehparameter fax,k
und die Kopfdurchziehparameter fhead,k sind
Sondernägel gemäß /41/, NCI Zu 8.3.2,
in Tragfähigkeitsklassen eingeteilt. |
Die Klassen 1, 2 oder 3 legen den Ausziehparameter
fax,k fest;
die Klassen A, B oder C den Kopfdurchziehparameter fhead,k. |
| Die Parameter werden /41/, 8.3.2, Tab. NA.16, entnommen. |
|
|
|
|
Gemäß /41/, NCI Zu 8.3.2 (NA.13),
bzw. /1/, 12.8.1 (8), darf bei Verbindungen mit Sondernägeln
in vorgebohrten Nagellöchern
der charakteristische
Ausziehparameter f1,k zu 70 % in Ansatz gebracht
werden, wenn der Bohrlochdurchmesser nicht größer
als der Kerndurchmesser des Sondernagels ist. |
Bei größerem Bohrlochdurchmesser
darf der Sondernagel nicht
auf Herausziehen beansprucht
werden. |
|
|
|
|
|
 |
| Die übrigen Optionen entsprechen denen der
Nägel. |
|
|
|
|
|
|
|
|
 |
| Zur Auswahl stehen die Stabdübel
entspr. /16/, 8.6. |
|
Die zugehörige Stahlgüte ist entspr.
DIN EN 1993 auszuwählen. |
|
 |
|
 |
|
|
|
|
|
|
 |
Passbolzen, Bolzen und Gewindestangen werden entspr. /16/,
8.5 und 8.6, als stiftförmige Verbindungsmittel behandelt. |
|
 |
|
|
| Die zugehörige Stahlgüte ist entspr.
DIN EN 1993 auszuwählen. |
|
 |
|
|
| Zur Berechnung des Ausziehwiderstands Fax,Rk ist der Durchmesser der Unterlegscheibe anzugeben. |
| Unterlegscheiben müssen einen Durchmesser
dU ≥ 3 d haben. |
Durch Wahl der Option automatisch wird der Scheibendurch-messer gemäß /8/, Tafel
9.38c, gewählt. Die Option ist auch
im Tabellenmodus
wirksam. |
|
 |
|
|
Nach /1/, 12.3 (1), werden Passbolzen rechnerisch
wie
Stabdübel behandelt. |
|
 |
|
|
Verbindungen mit Gewindestangen werden gemäß
/41/,
NCI NA.8.5.3 berechnet. |
| Der wirksame Durchmesser wird gemäß
/2/, Tab. 12/7, wie folgt angesetzt |
|
| Nenndurchmesser
[mm] |
wirksamer
Durchmesser [mm] |
| 6 |
5.39 |
| 8 |
7.23 |
| 10 |
9.08 |
| 12 |
10.90 |
| 16 |
14.80 |
| 20 |
18.50 |
| 24 |
22.20 |
| 30 |
27.90 |
|
|
 |
|
|
| Infolge des Einhängeeffekts darf ein
Teil des Herauszieh-widerstands Fax,Rk gemäß
/16/, 8.2.2, zur Erhöhung des
Scherwiderstandes Fv,Rk angesetzt werden. |
| Maßgebend für den Ausziehwiderstand
Fax,Rk wird hierbei die Querdruckpressung der
Unterlegscheibe. Daher ist der Durchmesser der Unterlegscheibe
einzugeben. |
Die Berechnung der wirksamen Querdruckfläche
erfolgt entspr.
/16/, 8.5.2 (2), bzw. /2/, E12.4 (8). |
|
|
|
|
|
|
|
|
 |
Verbindungen mit Ring- oder Scheibendübeln
sind als Einheit mit einem Bolzen auszuführen, der die
Aufgabe hat,
ein Auseinanderfallen der Hölzer zu verhindern. |
Bei Scheibendübeln Typ C setzt sich die Tragfähigkeit
aus der Summe der Einzeltragfähigkeiten von Bolzen und
Dübel zusammen. |
| Bei Ringdübeln A1 und Scheibendübeln
B1 wird eine Gesamttragfähigkeit der Verbindungseinheit
berechnet. |
|
| Der zugehörige Bolzendurchmesser unterliegt
bestimmten Bedingungen, die von der Dübelgröße
abhängen. |
| Die nicht zulässigen Durchmesser sind
daher blass dargestellt und nicht auswählbar. |
|
  |
|
|
| Zum gewählten Bolzen ist eine Festigkeitsklasse
anzugeben. |
|
 |
|
|
| Nach /1/, 12.3 (1), werden Passbolzen rechnerisch
wie Stabdübel behandelt. |
|
 |
|
|
| Verbindungen mit Gewindestangen werden gemäß
/41/, NCI NA.8.5.3 berechnet. |
|
 |
|
|
| Infolge des Einhängeeffekts darf ein
Teil des Herausziehwider-stands Fax,Rk gemäß
/16/, 8.2.2, zur Erhöhung des
Scher-widerstands Fv,Rk angesetzt
werden. |
|
|
|
|
|
|
|
|
|
|
|
|
| In der rechten Fensterhälfte befinden sich die Einstellungen
zum Berechnungsverfahren. |
|
| DIN EN 1995 in Verbindung mit dem NAD geben dem Statiker verschiedene Bemessungsverfahren an die Hand. |
Die Verfahren beruhen gemeinsam auf der
Theorie von
Johansen (1949). |
Beim genauen Verfahren aus /16/, 8.2.2,
werden verschiedene
auf der Fließgelenktheorie beruhende Versagensfälle
untersucht, von denen derjenige mit der geringsten Tragfähigkeit
maßge-
bend wird. |
| Da die Anwendung dieses Verfahrens sehr
aufwendig ist, steht alternativ das vereinfachte Verfahren nach /17/, 8.2 ff. |
|
In den Erläuterungen zur DIN 1052, /2/, wird darüber hinaus die Möglichkeit beschrieben,
die Bemessungswerte aufgrund der in /1/, Anh. G.2, beschriebenen Versagensfälle durch Einsetzen
der Bemessungswerte von fh,d und My,d zu bestimmen. |
| Diese Variante liefert i.d.R. die höchsten Tragfähigkeiten,
da hier die verschiedenen Einflüsse der Holzfeuchte und der Lastein-wirkungsdauer
am besten berücksichtigt werden. |
|
| Systemplot |
 |
In der rechten Fensterhälfte unter den Berechnungseinstellungen
wird zur Kontrolle der Eingabe ein maßstäblicher Systemplot mit
den gewählten Hölzern und Winkeln angezeigt. |
|
|
|
|
| Ergebnisfenster (nur im Widerstandsmodus) |
 |
| In der rechten Fensterhälfte unter
dem Systemplot befindet sich das Ergebnisfenster. Hier werden
die Scher- und Ausziehtrag-fähigkeiten des
Verbindungsmittels angezeigt. |
| Im Erfolgsfalle ist der Hintergrund grün gefärbt. |
|
 |
|
|
| Im Falle einer fehlerhaften Berechnung erscheint eine Fehlermeldung vor rotem Hintergrund. |
|
 |
|
|
|
|
 |
|
 |
| das Eingabefenster für die
Verbindungsmittel wird über das Registerblatt Anordnung aufgerufen |
|
|
|
 |
|
| Das Fenster gliedert sich in die Bereiche Verbindungsmittel, Anordnung und Optionen. |
Im unteren Fensterbereich erscheinen sofort die
wichtigsten Ergebnisse der Tragfähigkeit sowie die
einzuhaltenden Mindestabstände. |
| Im Falle unzulässiger Eingaben erscheint anstelle
des Ergebnisses eine Fehlermeldung. |
|
| Anordnung der Verbindungsmittel |
|
|
| Die Verbindungsmittel werden auf die Stabachse bezogen
rasterförmig angelegt. Der Ursprung liegt im Schnittpunkt der
Stabachsen. Das Raster besteht aus Zeilen (senkrecht zur
Faser) und
Spalten (parallel zur Faser). |
|
| Hier werden die Anzahlen der Zeilen und
Spalten und die Abstände der Spalten (a1) und Zeilen (a2) eingegeben. |
Die Bezeichnungen a1 (in Faserrichtung) und a2 (senk-
recht
zur Faserrichtung) entsprechen denen des Eurocode. |
|
|
|
|
Durch Aktivierung der Optionsbox hinter a1 bzw. a2 wird automatisch der zulässige Mindestwert vom
Programm eingesetzt. |
Werden mehr Spalten oder Zeilen
eingegeben als zulässig, werden automatisch die außerhalb des
zulässigen Bereichs liegenden Verbindungsmittel entfernt. |
|
| Bei Nägeln, Schrauben oder Klammern in
Verbindung mit außen liegenden Blechen kann gewählt werden, ob
die |
|
|
|
| Verbindungsmittel nur von einer Seite (wechselseitig) oder
von beiden Seiten (2-seitig) eingebracht werden. |
|
|
|
|
| Die oberste Listbox enthält alle zur Auswahl stehenden Verbindungsmittel. |
Ist die Wahl eines Typs aus bestimmten Gründen
nicht möglich, wird der betreffende Typ als nicht auswählbar
blass dargestellt. |
|
|
|
|
| Unter dem Verbindungsmittel stehen zwei Listboxen mit dem
Verbindungs-mitteldurchmesser und der -länge sowie ggf. zusätzlichen
Parametern. |
|
|
|
|
| Bei Nagel-, Schrauben- und Klammerverbindungen
können die Größenangaben auch frei eingegeben werden. |
| Bei Bolzen oder Schrauben können Unterlegscheiben gewählt werden. |
Durch Aktivierung des Optionsknopfs automatisch wird der passende Unterlegscheibendurchmesser vom
Programm gewählt. |
|
| Bei Bolzen und Stabdübeln muss eine Materialgüte gewählt werden. |
| Das Feld fu,k wird aktiv, wenn als Güte frei gewählt wird. |
|
|
|
|
|
|
|
| In der dritten Spalte des Registerblatts erscheinen zusätzliche Parameter oder Berechnungsoptionen
in Abhängigkeit vom gewählten Verbindungsmittel. |
|
|
|
|
| Im Folgenden werden die Besonderheiten der unterschiedlichen
Verbindungsmittel erläutert. |
|
|
 |
Die notwendigen Bemessungsparameter einer Nagelverbindung sind
Durchmesser und Länge
des Nagels. |
Soll der Herausziehwiderstand Fax,Rk berechnet
werden, sind zusätzlich die Eingaben des Kopf-durchmessers dk und der
effektiven Länge lef
erforderlich. |
|
|
|
|
Wegen der Spaltgefahr des Holzes muss bei Nagel-verbindungen ohne Vorbohrung die Dicke t von Bau-
teilen aus Vollholz eine Mindestholzdicke entspr. /16/, 8.3.1.2(6), bzw. /1/, Gl. (218), eingehalten werden. |
Der Herausziehwiderstand Fax,Rk ist bei vorgebohrten
Verbindungen = 0. |
|
|
|
|
|
|
 |
Die notwendigen Bemessungsparameter einer Klammerverbindung sind Durchmesser und Länge
der Klammer. |
| Soll der Herausziehwiderstand Rax berechnet werden, sind die Eingaben der Rückenbreite
und der effektiven Länge lef erforderlich. |
Die Holzfeuchte hat ebenfalls einen Einfluss auf den Ausziehwiderstand, da der charakteristische Wert f1,k des Ausziehparameters gemäß /1/, 12.8.3 (2), bei Klammerverbindungen, die mit einer Holzfeuchte
über 20 % hergestellt werden, auf 1/3 abgemindert werden muss. |
Zugfestigkeit des Stahls. Im Regelfall bestehen Klammern aus Stahldraht mit einer Mindestzug-
festigkeit fu,k = 800 N/mm2. |
|
|
|
|
| Nach /16/, 8.3.2(8), gilt |
"Für Bauholz, das mit einer der Fasersättigung ent-sprechenden oder diese
übersteigenden Holzfeuchte eingebaut wird und voraussichtlich unter Lastein-
wirkung austrocknet, sind die Werte von fax,k
und fhead,k mit 2/3 zu multiplizieren." |
|
|
|
|
Um den Herausziehwiderstand Fax ansetzen zu
können, müssen die Klammern
geharzt sein. |
| Infolge des Einhängeeffektes
(Seilwirkung) darf ein Teil des Herausziehwiderstands
Fax unter bestimmten Voraussetzungen
gemäß /4/ zur Erhöhung des Scherwiderstandes
Fv,Rk angesetzt werden. |
|
|
|
|
|
|
 |
| Eingabe und Berechnung erfolgen i.W. analog zu den Nagelverbindungen. |
| Da weder in /16/ noch in /41/ Werte für Auszieh- und Kopfziehparameter angegeben
sind, werden die Werte nach /1/, Tab. 15, verwendet, sofern keine Unterlegscheibe
gewählt wurde. |
Bezüglich der charakteristischen Werte für die Aus-ziehparameter fax und die Kopfdurchziehparameter
fhead sind Schrauben gemäß /1/ und /41/ in
Tragfähigkeitsklassen eingeteilt. |
Die Klassen 1, 2 oder 3 legen den Ausziehparameter
f1,k fest; die Klassen A, B oder C den Kopfdurch-ziehparameter f2,k. |
| d1 bezeichnet den Kerndurchmesser. |
| Die übrigen Optionen entsprechen
denen der Nägel. |
|
|
|
|
|
|
 |
| Eingabe und Berechnung erfolgen i.W. analog zu den Nagelverbindungen. |
| Bezüglich der charakteristischen Werte für die Aus-ziehparameter f1,k und die Kopfdurchziehparameter f2,k werden die Werte gemäß /10/, /11/ und
/12/ verwendet. |
Als Material kann zwischen Kohlenstoffstahl oder
nicht rostendem Stahl gewählt werden. |
|
|
|
|
| Schrauben mit einem Durchmesser ≥ 8 mm dürfen gemäß /15/, 4.2, ohne Vorbohren nur in die
Holzarten Fichte, Tanne oder Kiefer eingeschraubt werden. |
|
|
|
|
|
|
 |
| Eingabe und Berechnung erfolgen i.W. analog zu den Nagelverbindungen. |
Bzgl. der charakteristischen Werte für die Auszieh-parameter fax,k und die Kopfdurchziehparameter
fhead,k sind Sondernägel gemäß /41/, NCI
Zu 8.3.2, in Tragfähigkeitsklassen eingeteilt. |
Die Klassen 1, 2 oder 3 legen den Ausziehparameter
fax,k fest; die Klassen A, B oder C den Kopfdurch-ziehparameter fhead,k. Die Parameter werden /41/,
8.3.2, Tab. NA.16, entnommen. |
| Zugfestigkeit des Stahls. Im Regelfall bestehen Sondernägel aus Stahldraht mit einer
Mindestzugfestigkeit fu,k = 600 N/mm2. |
|
|
|
|
Gemäß /41/, NCI Zu 8.3.2 (NA.13), bzw. /1/, 12.8.1 (8), darf bei Verbindungen
mit Sondernägeln in vorge-
bohrten Nagellöchern
der charakteristische Ausziehparameter f1,k zu 70 % in Ansatz gebracht werden, wenn der Bohrlochdurchmesser
nicht größer
als der Kerndurchmesser des Sondernagels ist. |
| Bei größerem Bohrlochdurchmesser darf der Sondernagel nicht auf Herausziehen beansprucht werden. |
|
| Die übrigen Optionen entsprechen denen der Nägel. |
|
|
|
|
|
|
 |
Zur Auswahl stehen die Stabdübel entspr. /16/, 8.6,
bzw. /1/, Anh. G.10. |
| Die zugehörige Stahlgüte ist entspr. DIN EN 1993 auszuwählen. |
|
|
|
|
|
|
 |
Passbolzen, Bolzen und Gewindestangen werden
entspr. /16/, 8.5 und 8.6, bzw. /1/, 12.1 (1), als stiftförmige
Verbindungsmittel behandelt. |
Verbindungen mit Bolzen und Gewindestangen
werden gemäß /1/, 12.4, berechnet. |
| Die zugehörige Stahlgüte ist entspr. DIN EN 1993 auszuwählen. |
| Bei Wahl der Option fuk frei kann die Zugfestigkeit
direkt vorgegeben werden. |
|
|
|
|
Zur Berechnung des Ausziehwiderstandes Fax,Rk ist
der Durchmesser der Unterlegscheibe anzugeben. |
Unterlegscheiben müssen einen Durchmesser
dU ≥ 3 d haben. |
Durch Wahl der Option automatisch wird der Scheibendurchmesser gemäß /8/, Tafel 9.38c,
gewählt. |
|
|
|
|
| Nach /1/, 12.3 (1), werden Passbolzen rechnerisch wie Stabdübel behandelt. |
|
|
|
|
Verbindungen mit Gewindestangen werden gemäß
/41/, NCI NA.8.5.3, bzw. /1/, 12.4, berechnet. |
| Der wirksame Durchmesser wird gemäß /2/, Tab. 12/7, wie folgt angesetzt |
|
Nenndurch-
messer [mm] |
wirksamer Durch-
messer [mm] |
| 6 |
5.39 |
| 8 |
7.23 |
| 10 |
9.08 |
| 12 |
10.90 |
| 16 |
14.80 |
| 20 |
18.50 |
| 24 |
22.20 |
| 30 |
27.90 |
|
|
|
|
|
| Infolge des Einhängeeffektes
darf ein Teil des Heraus-ziehwiderstands Fax,Rk gemäß /16/, 8.2.2, bzw. /1/, 12.3 (8),
zur Erhöhung des Scherwiderstandes Fv,Rk angesetzt werden. |
| Maßgebend für den Ausziehwiderstand Fax,Rk wird hierbei die Querdruckpressung
der Unterlegscheibe. Daher ist der Durchmesser der Unterlegscheibe einzugeben. |
| Die Berechnung der wirksamen Querdruckfläche erfolgt entspr. /16/, 8.5.2 (2), bzw. /2/, E12.4 (8). |
|
|
|
|
|
|
 |
Verbindungen mit Ring- oder Scheibendübeln sind als Einheit mit einem Bolzen auszuführen, der die Aufgabe hat,
ein Auseinanderfallen der Hölzer zu verhindern. |
Bei Scheibendübeln Typ C setzt sich die Tragfähigkeit aus der Summe der Einzeltragfähigkeiten von Bolzen und
Dübel zusammen. |
| Bei Ringdübeln A1 und Scheibendübeln B1 wird eine Gesamttragfähigkeit der Verbindungseinheit berechnet. |
|
| Der zugehörige Bolzendurchmesser unterliegt bestimmten Bedingungen, die von der
Dübelgröße abhängen. |
| Die nicht zulässigen Durchmesser werden in der Auswahlliste inaktiv dargestellt. |
|
|
|
|
| Nach /1/, 12.3 (1), werden Passbolzen rechnerisch wie Stabdübel behandelt. |
|
|
|
|
| Verbindungen mit Gewindestangen werden gemäß /1/, 12.4, berechnet. |
|
|
|
|
Infolge des Einhängeeffekts darf ein Teil des Heraus-ziehwiderstands Fax,Rk gemäß /16/, 8.2.2, bzw. /1/,
12.3 (8), zur Erhöhung des Scherwiderstandes Fv,Rk angesetzt werden. |
|
|
|
|
|
|
|
 |
|
| In diesem Register werden die Anzahl und die Anordnung des
gewählten Verbindungsmittels eingegeben. |
| Die Wahl des Verbindungsmittels
selbst erfolgt durch einen Klick auf den betreffenden Verbindungsmittelbutton. |
| Eine Darstellung des Knotenpunkts mit den
eingesetzten Verbindungsmittel erscheint in der rechten
Fensterhälfte. |
| Die Sichtbarkeit von Mitten- und Seitenhölzern kann mit
den Schiebereglern über dem Bild eingestellt werden. |
| Der zulässige Bereich zum Einsetzen von Verbindungsmittel ist durch ein rotes Polygon umfasst. |
|
 |
|
| Bild vergrößern |
 |
|
|
|
| Nachfolgend werden die einzelnen Eingabeoptionen erläutert. |
|
Die Verbindungsmittel werden auf die Stabachse bezogen
rasterförmig angelegt. Der Ursprung liegt im Schnittpunkt
der Stabachsen Das Raster besteht aus Zeilen (senkrecht zur
Faser) und Spalten (parallel zur Faser). |
|
Zur Einhaltung der erforderlichen Mindestrandabstände
ist über die entsprechenden Optionsbuttons anzugeben, welche Ränder Zugränder sind. |
| Der zulässige Bereich für Verbindungsmittel wird in der
Systemdarstellung als rotes Polygon dargestellt. |
|
 |
|
|
| Die Verbindungsmittel können raster- oder
kreisförmig angeordnet werden. |
| Über die Optionsbuttons können folgende Varianten gewählt werden |
 |
| rasterförmig als Raute (bei schiefwinkligen
Anschlüssen) |
|
 |
| rasterförmig orthogonal zum Seitenholz |
|
 |
| rasterförmig orthogonal zum Mittenholz |
|
 |
|
 |
|
|
|
 |
|
|
Bei rasterförmiger Anordnung müssen
neben
der Anzahl der Verbindungsmittel-zeilen und -spalten, die
Abstände parallel und senkrecht zur Faserrichtung einge-geben
werden. |
| Bei Wahl der Option min wird der
betreffende Abstand auf den zulässigen Minimalwert gesetzt. |
| Anklicken des Buttons Verbindungsmittel öffnet das entsprechende Auswahlfenster. |
|
|
 |
|
|
Bei kreisförmiger Anordnung müssen
Radius und Anzahl der Verbindungsmittel gewählt werden. |
| Bei Wahl der Option max wird der Radius bzw. die Anzahl auf den Maximalwert gesetzt. |
| Über den Startwinkel kann die Position des ersten
Verbindungsmittels gesetzt werden. Somit werden alle
Verbindungsmittel im Kreis um den Startwinkel gedreht. |
|
 |
|
| Diese Drehung kann maßgebend sein, da hiervon abhängt, wie viele Verbindungsmittel in Faserrichtung hintereinander
liegen und somit in ihrer Tragfähigkeit abgemindert werden müssen. |
| Ein Klick
auf den Button Verbindungsmittel öffnet das entsprechende
Auswahlfenster. |
|
|
|
|
 |
|
| Im Registerblatt Schnittgrößen werden die
Schnittkräfte der einzelnen Stäbe eingegeben. |
| Die Einstellungen für die Nachweise erfolgen über die
Options-Buttons in der rechten Fensterhälfte. |
| Die Ausnutzungen werden nach durchgeführter Berechnung
grafisch, unter den Nachweisoptionen angezeigt. |
| Falls die Schnittgrößen mit den Stabwerksprogrammen 4H-NISI, Ebene Stabtragwerke, oder 4H-FRAP, Räumliche Stabtragwerke, berechnet wurden, sollte die Importfunktion des Programms genutzt werden, um die gelesenen Schnittkräfte automatisch in das richtige Koordinatensystem zu transformieren. |
|
 |
|
| Bild vergrößern |
 |
|
|
|
| Erwartet werden die Schnittgrößen am negativen Schnittufer der an
den Knotenpunkt angeschlossenen Stäbe. |
| In der Prinzipskizze in der rechten Fensterhälfte wird die Schnittgrößendefinition dargestellt. |
|
 |
|
| Eine Schnittgrößenkombination besteht aus den
Schnittgrößen (M, N, V) aller angeschlossenen Stäbe. |
Jede Kombination erhält einen Namen, der in der gelb unterlegten
Überschriftenzeile der Kombination eingegeben
wird, und die Lasteinwirkungsdauer. |
| Aus Lasteinwirkungsdauer, Nutzungsklasse und Material
resultiert der automatisch berechnete kmod-Wert. |
| Da die Materialien der Stäbe unterschiedlich sein können, erhält
jeder Stab einen eigenen kmod-Wert. |
Die Lasteinwirkungsdauer wird in der Listbox in der ersten Spalte gewählt. Über die Einstellung frei kann der
Wert in der kmod-Spalte vorgegeben werden. |
| In den Eingabezeilen unter der Bezeichnung werden die Schnittgrößen
für jeden einzelnen Stab eingegeben. |
|
Das Programm berechnet zu jeder Schnittgrößenkombination die Summen
der Momente (ΣM),
der Horizontalkräfte (ΣH) und der Vertikalkräfte (ΣV) aller Stäbe, die in der Zeile unter den Stabschnittgrößen
angezeigt werden. |
| Im Normalfall sollten alle drei Summen gleich Null sein. Ist eine der Summen
ungleich Null bedeutet dies, dass im Knotenpunkt eine äußere Last angreift oder dass sich im
Knotenpunkt ein Auflager befindet. |
Ist eine der Summen ungleich Null und es greift weder
eine äußere Last im Knotenpunkt an noch ist dort ein
Auflager, liegt ein Fehler vor und die Eingaben sollten überprüft werden. |
| Ein Klick auf die Eingabezelle mit dem Mülleimersymbol löscht die
betreffende Schnittgrößenkombination. |
| Mit dem Button neue Schnittgrößenkombination wird eine neue
Kombination angelegt. |
|
|
|
|
| Rechts unter der Prinzipskizze für die Schnittgrößen werden die
Nachweisoptionen eingestellt. |
| Es können Tragfähigkeitsnachweise für die Stäbe bzw. Bleche
und die Verbindungsmittel geführt werden. |
| Nachfolgend werden die einzelnen Optionen erläutert. |
|
|
|
| Alle Stäbe werden nach /16/, 6, für Biegung, Zug, Druck und Schub nachgewiesen. |
|
|
|
| Der Nachweis erfolgt unter
Berücksichtigung der
Querschnittsschwächungen durch die
Verbindungsmittel. |
|
|
| Gemäß /16/, 3.2 (3), darf
die Biegefestigkeit bzw. die Zug-festigkeit von
Vollholz um den Höhenbeiwert kh erhöht
werden. |
|
|
|
|
|
| Gemäß /17/ NCI NA.8.1.6
(NA.1) darf bei symmetrisch ausgeführten
Zugver-bindungen mit Schrauben, Bolzen, Passbolzen
und Nägeln in nicht vorgebohrten Nagellöchern beim |
|
|
|
| Nachweis der Tragfähigkeit der einseitig beanspruchten Bauteile das Zusatzmoment vereinfacht
durch eine Verminderung des Bemessungswerts der Zugtragfähigkeit um ein Drittel berücksichtigt werden. |
Gemäß /17/ NCI NA.8.1.6 (NA.4) darf bei Zuganschlüssen mit anderen Verbindungsmitteln
ohne Maßnahmen
zur Verhinderung der Verkrümmung der Nachweis entspr. Absatz (NA.1) durch eine
Verminderung des Bemessungswerts der Zugtragfähigkeit um 60 % geführt werden. |
|
|
| Die Verbindungsmittel werden nach /16/, 8, nachgewiesen. |
Über die Optionsbuttons kann zwischen dem
vereinfachten Bemessungsverfahren nach /41/, dem
genauen Verfahren
n. /16/ oder dem Bemessungswerteverfahren n. /2/ gewählt werden. |
| Das genaueste Verfahren ist das Bemessungswerteverfahren. |
|
|
|
|
|
| Gemäß /16/, Anhang A, kann bei
Stahlblech-Holz-Verbindungen mit mehreren
stiftförmigen Verbindungsmitteln, die durch eine
Kraftkomponente in Faserrichtung nahe am
Hirnholzende beansprucht werden, ein Scherversagen
entlang der äußeren Verbindungsmittelreihen oder
infolge Zugversagens des Holzes auftreten. |
|
|
|
| Durch Aktivierung der Option wird
der Nachweis des Blockscherversagens geführt, sofern
die erforderlichen Bedingungen erfüllt sind. |
|
|
|
|
| Nach erfolgter Berechnung werden die Ausnutzungen der einzelnen Nachweise als
Balkendiagramme dargestellt. |
Sind alle Nachweise erfüllt, erscheint der Hintergrund in grün. Ist
einer der Nachweise nicht erfüllt, erscheint ein
roter Hintergrund. |
|
|
|
|
|
 |
|
| Detailnachweisprogramme zur Bemessung von
Anschlüssen (Knotenpunkte, Träger/Stütze, Träger/Träger), Stößen (Biege-,
Zug-
oder Druckstoß) und Fußpunkten (Stütze/Fundament) etc.
benötigen Schnittgrößenkombinationen, die häufig von einem
Tragwerksprogramm zur Verfügung gestellt werden. |
| Dabei handelt es sich i.d.R. um eine Vielzahl
von Kombinationen, die im betrachteten Bemessungsschnitt des
übergeordneten Tragwerkprogramms vorliegen und in das
Anschlussprogramm übernommen werden sollen. |
|
Zunächst sind in dem exportierenden 4H-Programm (4H-FRAP, 4H-NISI etc.) an den am Nachweisknoten
angreifenden Stäben Kontrollpunkte (als
Stabpunkte) zu setzen, deren Schnittgrößen beim nächsten
Rechenlauf exportiert, d.h. für den Import in einem Detailnachweisprogramm
bereitgestellt, werden sollen. |
| Hierbei ist es sehr hilfreich, den Kontrollpunkten Namen zu geben mit
denen sie sich leicht zu den passenden Anschlussstäben
zuordnen lassen (z.B. Seitenholz links, Seitenholz
rechts, Mittenholz links, Mittenholz rechts). |
| Bevor der Importbutton gedrückt wird, sollten nur die Stäbe
aktiv sein, die auch importiert werden sollen. |
| Ausführliche Informationen zum Export
können dem DTE®-Schnittgrößenexport entnommen werden. |
|
 |
über den dargestellten Button wird
das Auswahlfenster zum Schnittgrößen- und
Materialdatenimport aus
pcae-Stabwerksprogrammen gestartet |
|
|
|
| Das Programm 4H-HVMT, Verbindungsmittel,
führt eine einachsige Bemessung durch. |
|
 |
| Wenn Schnittgrößen aus dem räumlichen
Stabwerksprogramm 4H-FRAP zum Nachweis
eines Anschlusses übernommen werden sollen, sind zusätzliche
Bedingungen zu beachten. |
 |
es ist sicherzustellen, dass alle Stäbe des Nachweisknotens
in einer Ebene liegen.
Sollte dies nicht der Fall sein, wird der Import mit einer Fehlermeldung abgebrochen. |
|
|
 |
durch entsprechende Lagerbedingungen und Gelenke an
den Stäben ist sicherzustellen, dass sich
keine Schnittgrößen senkrecht zur Nachweisebene und auch
keine Torsion einstellen. |
Momenten- und Querkraftanteile quer zur Berechnungsebene (Querbiegung)
sowie Torsion werden
nicht berücksichtigt! |
|
|
|
|
|
|
|
| Ein Klick auf den Import starten-Button
öffnet das Übergabeprogramm mit dem Fenster zur DTE®-Bauteilauswahl. |
| Hier werden alle berechneten Bauteile dargestellt, wobei
diejenigen B., die Schnittgrößen exportiert haben, dunkel gekennzeichnet sind. |
|
| Das gewünschte Bauteil kann nun markiert und über den bestätigen-Button
ausgewählt werden. |
| Alternativ kann durch Doppelklicken des Bauteils direkt in die DTE®-Schnittgrößenauswahl verzweigt werden. |
|
 |
|
| Bild vergrößern |
 |
|
|
|
| In der Identifizierungsphase der Schnittgrößenauswahl werden alle verfügbaren Schnitte des
ausgewählten Bauteils angezeigt, wobei diejenigen Schnitte deaktiviert sind, deren Material
nicht kompatibel mit dem Detailprogramm ist. |
|
 |
|
Nun werden die Schnitte den einzelnen Abteilungen
in der Schnittgrößentabelle (hier Seitenholz links, Seitenholz rechts, Mittenholz links, Mittenholz
rechts) zugeordnet. Dazu wird der
entsprechende Eintrag (hier Schnitt 2)
angewählt und der
zugehörigen Zeile in der dann folgenden Tabelle zugewiesen (hier Mittenholz rechts). |
| Ist eine Abteilung festgelegt, werden die in Frage kommenden möglichen Alternativen für
die noch nicht festgelegte Abteilung mit einem Pfeil gekennzeichnet. |
|
 |
sind nicht ausreichend Schnitte vorhanden,
kann
die DTE®-Schnittgrößenauswahl nur
über den abbrechen-Button verlassen
werden; ein Import
ist dann nicht möglich. |
|
|
|
| Zur visuellen Kontrolle werden die definierten Schnitte in einem
nebenstehenden Fenster angezeigt. |
|
 |
erst wenn sämtliche Schnitte zugeordnet sind, ist die
Identifizierungsphase abgeschlossen
und die
Schnittgrößenauswahl folgt. |
|
|
|
 |
|
|
|
Es werden die verfügbaren Schnittgrößenkombinationen der
gewählten Schnitte angeboten, die über das
'+'-Zeichen am linken Rand aufgeklappt werden können. |
|
 |
|
| Bild vergrößern |
 |
|
|
|
| Die obige Tabelle
verdeutlicht weiterhin die
Komplexität der Nachweise im Holzbau
nach den neuen Normen. |
|
 |
im
Holzbau gehört zu
jeder
Bemessungskombination
eine maßgebende
Lasteinwirkungsdauer,
die zusammen
mit Nutzungsklasse
und Materialgüte den
zugehörigen kmod-Wert
ergibt, der zur
Berechnung des
Bemessungs-
werts des
Bauteilwiderstands
benötig wird |
|
 |
aufgrund
der den Einwirkungen
anhaftenden
unterschiedlichen
Lasteinwirkungsdauern
(ständig, lang,
mittel,
kurz, sehr kurz)
muss sich daher
innerhalb einer
Standardkombination
(z.B. im Programm 4H-FRAP)
eine
Reihe von
Unterextremierungen
mit verschiedenen
kmod-Werten ergeben. |
| Das
Ergebnis einer
Standardkombination
in 4H-FRAP
ist dann die
Umhüllende dieser
Unterextremierungen. |
|
 |
zum Import in 4H-HVMT,
Holzverbindungsmittel, werden diese Unterextremierungen
(die im Ergebnissatz von
4H-FRAP nicht
sichtbar werden bereitgestellt, um den geforderten
exakten Nachweis des Stoßes mit den gleichfalls
importierten kmod-Werten führen
zu können |
|
 |
eine
Alternative wäre,
die Ergebnisse der
Zusammenfassung des
Nachweises zu
importieren und
manuell
einen ungünstigen
kmod-Wert anzugeben.
Hier soll jedoch der
exakte Weg gezeigt
werden. |
|
|
|
| In der
Schnittgrößenauswahl werden
sukzessive über die Buttons alle
auswählen die
Schnittgrößenblocks der einzelnen
Unterextremierungen aktiviert. |
|
 |
| mittels des Buttons doppelte
Zeilen abwählen werden die Übergabeblocks
erheblich reduziert |
|
|
|
| Wenn eine Reihe von
Stößen gleichartig ausgeführt werden
soll, können in einem Rutsch weitere
Schnittgrößen anderer
Schnittkombinationen aktiviert und
so bis zu 1.000 Kombinationen
übertragen werden (s. Abb. unten). |
|
 |
|
| Bild vergrößern |
 |
|
|
|
|
Nach dem Einlesen der Übernahmewerte erscheint
ein Protokoll im Importfenster. |
Warnungen, die beachtet werden sollten, werden
in rot dargestellt. |
Die endgültige Übernahme der Daten erfolgt erst,
wenn das Eingabefenster mit dem OK-Button
verlassen wird. |
|
 |
|
|
| Nach abgeschlossener Auswahl der Schnittgrößenkombinationen und
Bestätigen der Eingabe werden die Schnittgrößensätze in die Tabelle
des aufrufenden Programms übernommen. |
Bereits bestehende Tabellenzeilen vorhergehender manueller Eingaben oder Importe
bleiben erhalten, so
dass die Schnittgrößenauswahl auch mehrfach
aufgerufen werden kann. |
| Weitere Kombinationen können auch manuell hinzugefügt werden. |
|
|
|
|
|
|
 |
|
 |
| Das dritte Registerblatt wird im Tabellenmodus aktiviert. |
|
|
|
 |
|
| Der Umfang der ausgegebenen Daten wird in den Druckeinstellungen festgelegt. |
Im Tabellenmodus wird eine Tabelle mit Tragfähigkeitswerten
Fv,Rk oder Fv,Rd oder Lochleibungsspannungen
fha,k oder fha,d erstellt. |
| Formatierungsangaben zur Tabelle erfolgen gleichfalls in den
Druckeinstellungen. |
|
Die erste und zweite Spalte im Registerblatt enthalten Angaben über die Parameter, die in den Tabellenspalten
bzw. -zeilen stehen. |
|
| In den Spalten können diverse Parameter variiert werden. |
|
 |
|
|
| Die Spaltenwerte können einzeln oder
äquidistant vorbelegt werden. |
Bei äquidistanter Belegung werden ein min-Wert, ein Schrittweitenwert Δ
und die Anzahl der Spaltenwerte vorgegeben. |
Bei den hier eingegebenen Parametern werden beispielsweise Spalten
mit den Werten: 1, 16, 31, 46, 61 und 76 erzeugt. |
|
 |
|
|
| Alternativ können die Spaltenwerte einzeln eingegeben werden. |
Bei manchen Verbindungsmitteln wie z.B. Nägeln oder Bolzen ist die
Eingabe eines zweiten Parameters erforderlich, der dann in der zweiten Parameterspalte eingegeben wird. |
Im Beispiel rechts wird zusätzlich zum Bolzendurchmesser der Durch-
messer der Unterlegscheibe eingegeben. |
|
| Der Mülleimer löscht eine Zeile und neue Zeile erzeugt eine Zeile. |
|
 |
|
|
In der dritten Spalte Zelleninhalte wird festgelegt, welche Ergebniswerte
in den Zellen
der Tabelle ausgegeben werden. |
|
| Fv,Rk |
charakteristische Schertragfähigkeit |
| Fv,Rd |
Bemessungswert der Schertragfähigkeit |
| Fax,Rk |
charakteristischer
Ausziehwiderstand |
| Fax,Rd |
Bemessungswert des Ausziehwiderstands |
| fha,k |
charakteristische Lochleibungsspannung |
| fha,d |
Bemessungswert der Lochleibungsspannung |
|
|
 |
|
|
|
|
|
 |
|
| Bemessungswert der Tragkraft |
 |
|
|
|
|
|
| wirksame Anzahl der in Faserrichtung hintereinander liegenden Verbindungsmittel (n>2) |
 |
|
|
|
|
|
|
 |
|
| Bemessungswert der Tragkraft |
 |
|
|
|
|
| wirksame Anzahl der in Faserrichtung hintereinander liegenden Verbindungsmittel (n>2) |
 |
|
|
|
|
|
|
 |
|
| vereinfachtes Rechenverfahren |
 |
|
| Bei Wahl des vereinfachten Rechenverfahrens
nach DIN EN 1995-1-1/NA:2013-08, 8.6, errechnet
sich der Bemessungswert der Tragkraft zu |
|
|
|
|
|
|
|
|
|
| wirksame Anzahl der in Faserrichtung hintereinander liegenden Verbindungsmittel (n>2) |
 |
|
|
|
|
|
 |
|
| Bemessungswert der Tragkraft vereinfachtes Rechenverfahren |
 |
|
| Bei Wahl des vereinfachten Rechenverfahrens
n. DIN EN 1995-1-1/NA:2013-08, 8.2, errechnet
sich der Bemessungswert der Tragkraft zu |
|
|
|
|
|
|
|
|
|
| wirksame Anzahl der in Faserrichtung hintereinander liegenden Verbindungsmittel (n>2) |
 |
|
|
|
|
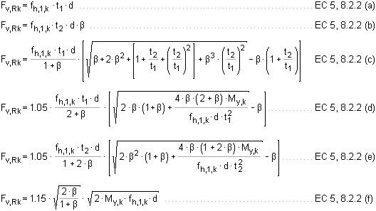
| charakteristische Tragfähigkeit genaueres Verfahren |
 |
|
| Bei Wahl des genaueren Verfahren
nach /16/, 8.2.2, (s. auch /2/, E 12.6) berechnet
sich die charakteristische Tragfähigkeit
nach folgenden Gleichungen, von denen der
kleinste Wert maßgebend ist. |
|
 |
einschnittige
Verbindungen |
|
 |
|
|
|
 |
zweischnittige
Verbindungen |
|
 |
|
|
|
|
|
|
|
|
|
 |
|
| Für Verbindungen aus Holz berechnet sich
die charakteristische Tragfähigkeit nach folgenden Gleichungen. |
| Die Terme zur Berücksichtigung der Seilwirkung
wurden weggelassen, da sie separat behandelt werden. |
| Der kleinste Wert ist maßgebend. |
|
|
| einschnittige Verbindungen |
 |
|
|
|
|
| zweischnittige Verbindungen |
 |
|
|
|
Für zweischnittige Stahlblech-Holz-Verbindungen
berechnet sich die charakteristische Tragfähigkeit
nach folgenden Gleichungen; der kleinste Wert
ist maßgebend. |
|
 |
dünne Bleche |
|
 |
|
|
 |
dicke Bleche |
|
 |
|
|
|
|
|
|
|
|
 |
|
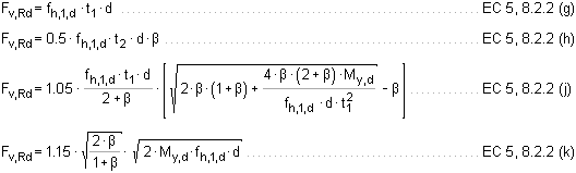
Für Verbindungen aus Holz gemäß
/2/, E 12.2.2(3) kann der Bemessungswert der Tragfähigkeit
nach den
Gleichungen /16/, 8.2.2, durch Einsetzen der Bemessungswerte
My,d und fh,d direkt berechnet werden. |
| Die Terme zur Berücksichtigung der Seilwirkung
wurden weggelassen, da sie separat behandelt werden. |
| Der kleinste Wert ist maßgebend. |
|
|
| einschnittige Verbindungen |
 |
|
|
|
|
| zweischnittige Verbindungen |
 |
|
|
|
Für zweischnittige Stahlblech-Holz-Verbindungen
berechnet sich der Bemessungswert der Tragfähigkeit
nach folgenden Gleichungen, von denen der
kleinste Wert maßgebend ist. |
|
 |
dünne Bleche |
|
 |
|
|
 |
dicke Bleche |
|
 |
|
|
|
|
|
|
|
|
 |
|
| Verbindungen von Bauteilen aus Holz und Holzwerkstoffen |
 |
|
|
|
|
| Stahlblech-Holz-Verbindungen |
 |
|
|
|
|
| Holz-Holz-Nagelverbindungen |
 |
|
|
|
|
|
|
 |
|
| In bestimmten Fällen darf die Tragfähigkeit
Fv,Rk (Rk) um einen Anteil ΔFv,Rk (ΔRk) erhöht werden. |
| Dieser Anteil resultiert aus dem Ausziehwiderstand des
Verbindungsmittels. |
| Der Anteil ΔFv,Rk ergibt sich
aus dem Term |
|
|
|
| der Gleichungen /16/, (8.6) und 8.7. |
|
|
| Nägel |
 |
|
| Nach /16/, 8.2.2 (2), darf bei Verwendung
metallischer, stiftförmiger Verbindungsmittel
der Einfluss der Seilwirkung berücksichtigt
werden. Bei runden Nägeln ist er auf 15%
vom Scherwiderstand begrenzt. |
| Die Einschlagtiefe sollte dabei
mindestens 8 d betragen. |
|
|
| Bei Verwendung von Fermacellplatten
ist gemäß /28/ jedoch eine Erhöhung
möglich. Es gilt: |
|
| "Bei einschnittigen Verbindungen
mit überwiegend kurzzeitiger Beanspruchung
darf die ermittelte charakteristische Tragfähigkeit
Rk für eine Beanspruchung parallel
zum Rand der Gipsfaserplatte um einen Anteil ΔRk wie folgt erhöht werden:" |
|
|
|
Der Ausziehparameter fax,k und die Kopfdurchziehfestigkeit fhead,k werden nach /16/, 8.3.2 Gl.(8.25), bzw.
nach /41/, NCI Zu 8.3.2, Tab. NA.16, bestimmt. |
Für die Ermittlung des Ausziehwiderstandes
Fax,Rk darf für alle zulässigen
Verbindungsmittel der charakteristische
Wert des Kopfziehparameters fhead,k =
15 N/mm2 angenommen werden. |
|
|
|
|
|
|
| Klammern |
 |
|
| Für Klammern gilt das Gleiche
wie für Verbindungen mit Nägeln. |
| Nach
/41/, NCI zu 8.4 (NA.13), können beharzte Klammern wie zwei
profilierte Nägel der Tragfähigkeitsklasse 2 des gleichen
Durchmessers n. Tab. NA.16 betrachtet werden, wenn sie die Anforderungen nach DIN 1052-10 erfüllen,
vorausgesetzt, dass der Winkel zwischen dem Klammerrücken und der
Faserrichtung des Holzes mindestens 30° beträgt. Andernfalls
sind sie wie glattschaftige Nägel zu betrachten. |
| Bei Verwendung von Fermacellplatten
gilt entsprechend /28/ für den Ausziehwiderstand
Rax,k |
|
|
|
|
|
|
|
| Sondernägel |
 |
|
| Nach /41/, 8.3.2 (4), darf der Ausziehwiderstand
für Nägel mit anderem als glattem Schaft,
wie in EN 14592 definiert, wie folgt berechnet werden |
|
|
|
Nach /41/, NCI Zu 8.3.1.3 (NA.9),
darf bei einschnittigen Holzwerkstoff-Holz-Nagelverbindungen
mit profilierten
Nägeln (Sondernägeln)
- außer bei Gipsplatten-Holz-Verbindungen
- der charakteristische Wert der Tragfähigkeit
Fv,Rk um einen Anteil ΔFv,Rk erhöht werden. |
|
|
|
Nach /41/, NCI Zu 8.3.1.4 (NA.4),
darf bei einschnittigen Stahlblech-Holz-Nagelverbindungen
mit profilierten Nägeln
die
charakteristische Tragfähigkeit Fv,Rk nach Gleichung (NA.129) um einen Anteil ΔFv,Rk erhöht werden. |
|
|
|
Nach /41/, NCI Zu 8.3.2 (NA.12),
dürfen für Nägel, die nach /18/
einer Tragfähigkeitsklasse zugeordnet wurden,
die charakteristischen Werte für die Ausziehparameter
und die Kopfdurchziehparameter n. Tab. NA. 16
bestimmt werden. |
|
|
|
|
|
| Schrauben |
 |
|
| Nach /16/, 8.7.2 (4) darf für
Verbindungen mit Schrauben n. /26/ mit |
|
|
|
| der charakteristische Ausziehwiderstand
berechnet werden zu |
|
|
|
|
|
|
|
| Passbolzen |
 |
|
Bei Verbindungen mit Bolzen oder
Passbolzen darf der charakteristische Wert der
Tragfähigkeit Fv,Rk n. /16/, 8.2.2,
um einen Anteil ΔFv,Rk erhöht
werden. |
| Gemäß /16/ 8.2.2 (2)
ist ΔFv,Rk auf 25% von Fv,Rk zu begrenzen. |
| Maßgebend für ΔFv,Rk ist die Querdruckspannung unter der Unterlegscheibe.
Die wirksame Fläche unter der Scheibe kann
nach /16/, 8.5.2(2), zu A · 3.0 ·
fc,90,k berechnet werden. |
|
|
|
|
|
|
| Bolzen und Gewindestangen |
 |
|
| Sofern nichts anderes
festgelegt ist, gelten die Bestimmungen für
Verbindungen mit Stabdübeln und Passbolzen
sinngemäß. |
|
|
|
|
|
| Ring- und Scheibendübel |
 |
|
| Ring- oder Scheibendübel bieten
keinen Widerstand gegen Herausziehen. |
| Da Ring- oder Scheibendübel
jedoch immer in Verbindung mit Bolzen ausgeführt
werden müssen, wird vom Programm der Herausziehwiderstand
des verwendeten Bolzens ermittelt. |
| Dieser Herausziehwiderstand kann
auch gemäß /16/, 8.2.2, oder
/1/, 12.3 (8), zur Erhöhung der Schertragfähigkeit
herangezogen werden. |
|
|
|
|
|
|
 |
|
| Bei Stahlblech-Holz-Verbindungen mit mehreren
stiftförmigen Verbindungsmitteln, die durch eine Kraftkomponente
in Faserrichtung nahe am Hirnholzende beansprucht werden, kann
ein ganzer Verbindungsmittelblock durch Überschreiten der Schub-
oder Zugspannungen in den Rissfugen versagen. |
| Es wird angenommen, dass ein die
Verbindungsmittel umhüllender Block in Faserrichtung aus dem
Holz herausbricht. Bei rasterförmiger Verbindungsmittelanordnung
ist dies ein Rechteck. Bei nicht rasterförmiger Anordnung
ermittelt das Programm eine umhüllende Fläche in Faserrichtung. |
| Auf der Widerstandsseite wirken zwei Komponenten
der äußeren Zuglast entgegen |
 |
| die Faserzugkraft an der Stirn des versagenden Blocks |
|
|
 |
| die Schubkraft an den Flanken des Blocks |
|
|
|
| Der maximale Wert ist maßgebend. |
|
| Gemäß /16/, Anh. A, (A1.)
ergibt sich die maßgebende Widerstandskraft zu |
|
|
|
|
 |
| zur Hauptseite 4H-HVMT, Verbindungsmittel |
 |
|
 |